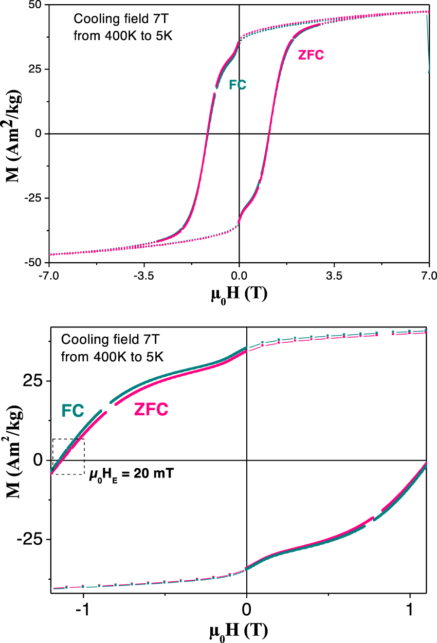
Figure 7

FC and ZFC M(H) hysteresis loops recorded at 5 K, on CFO-NOlarge, for an applied magnetic field between +7 and −7 T and a cooling magnetic field of +7 T. The sample was heated to 400 K before being cooled to 5 K in the presence or not of an external magnetic field. A zoom on the plots recorded for a magnetic field varying between −1.1 and +1.1 T is given for clarity.