Figure 6
From: Manganese protects wheat from the mycotoxin zearalenone and its derivatives

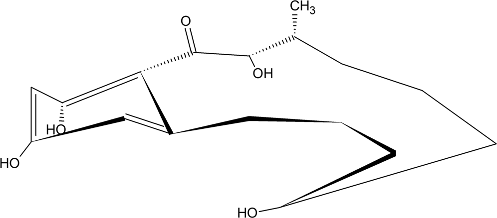
The suggested structure of the α-zearalenone molecule.
From: Manganese protects wheat from the mycotoxin zearalenone and its derivatives

The suggested structure of the α-zearalenone molecule.