Figure 1
From: Rich Magnetic Quantization Phenomena in AA Bilayer Silicene

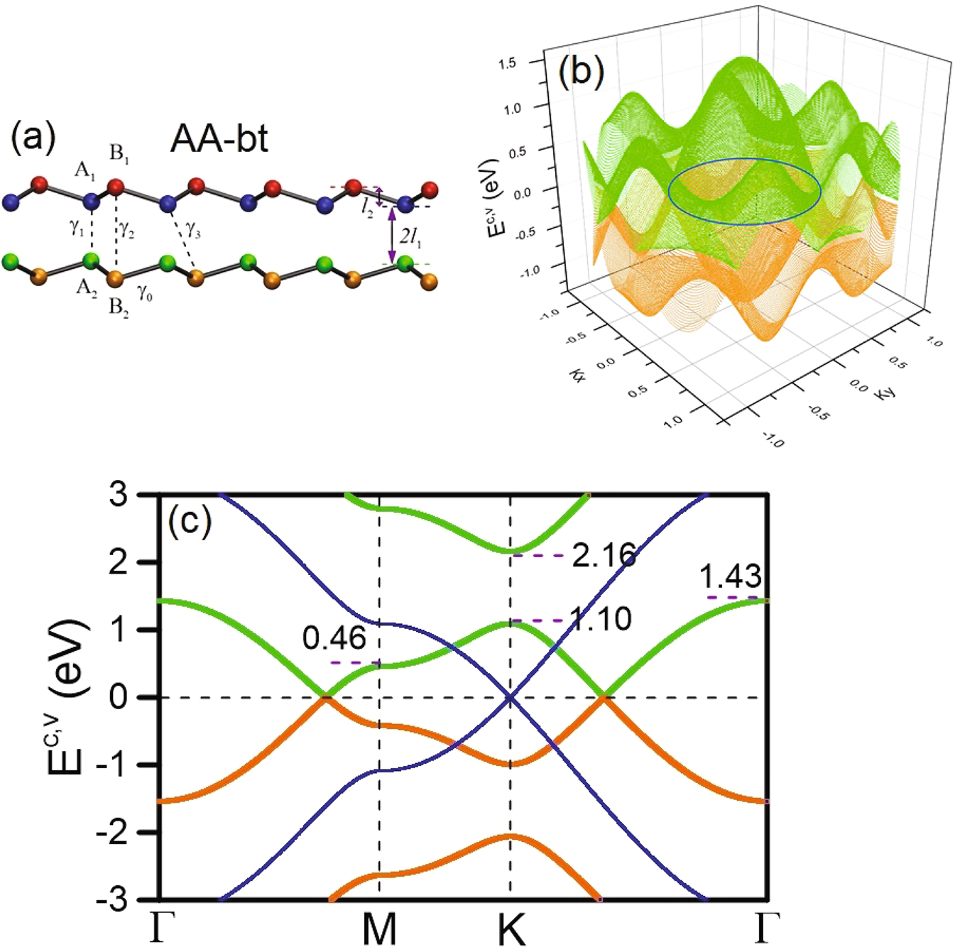
(a) Side view of the geometric structure including the significant hopping integrals for AA-bt bilayer silicene. The low-energy band structure is shown for (b) 3D and (c) 2D along the high symmetry directions. For comparison, the energy band of monolayer silicene is also plotted in (c).