Figure 1

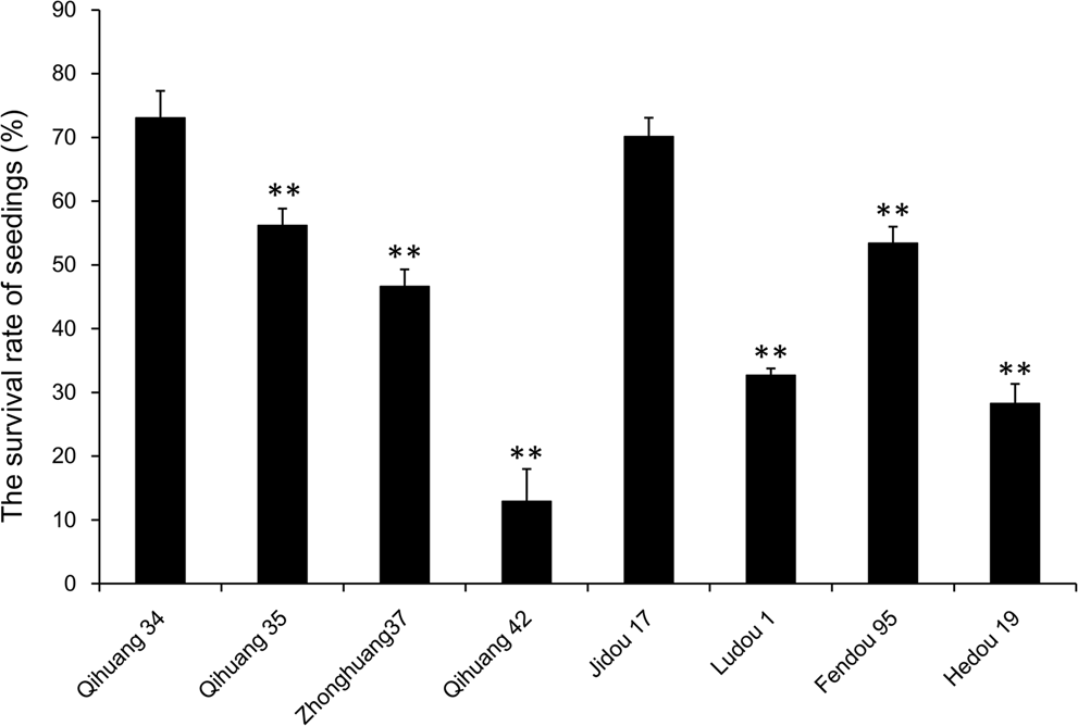
Statistical analysis of the survival rate of the seedlings for different varieties. Error bars on the boxes indicate the standard deviations of three biological replicates. **P < 0.01; Student’s t-test.

Statistical analysis of the survival rate of the seedlings for different varieties. Error bars on the boxes indicate the standard deviations of three biological replicates. **P < 0.01; Student’s t-test.