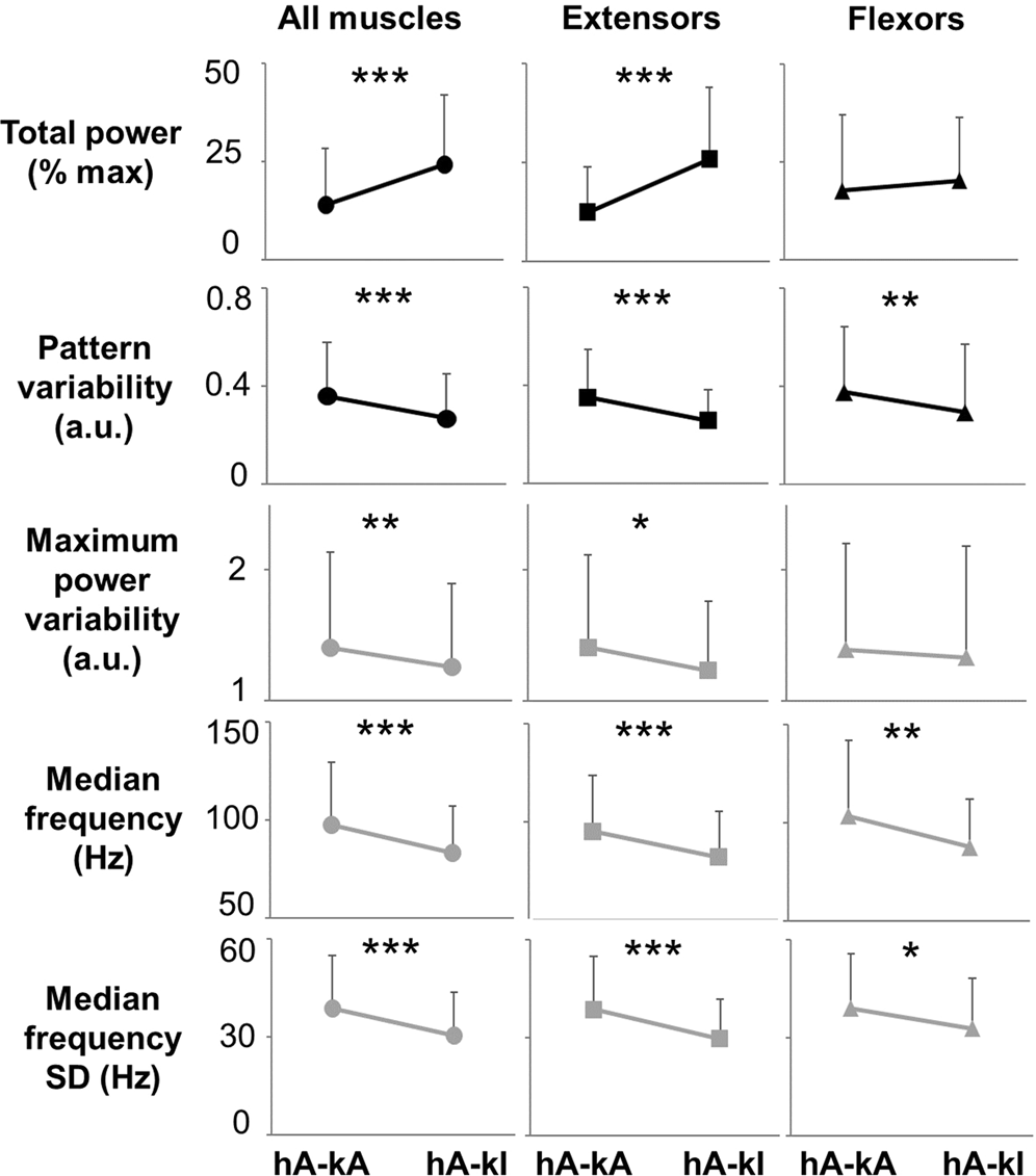
Figure 5

Quantification of EMG time- and frequency-domain features collected during standing with knees assisted or standing with independent knees extension. Representative time- and frequency-domain EMG features collected during standing with external assistance for hips and knees extension (hA-kA), and during standing with hips assisted and independent knees extension (hA-kI). EMG features values were averaged among research participants (n = 8) and among all investigated muscles (left and right soleus, medial gastrocnemius, vastus lateralis, rectus femoris, gluteus maximus, tibialis anterior and medial hamstring; total n = 114), among primary extensor muscles (left and right soleus, medial gastrocnemius, vastus lateralis, rectus femoris, gluteus maximus; total n = 80), or among primary flexor muscles (left and right tibialis anterior and medial hamstring; total n = 32). Values are expressed as mean ± standard deviation (SD). Differences were tested by Wilcoxon test. *p < 0.05; **p < 0.01; ***p < 0.001.