Figure 5
From: Thermal equation of state of ruthenium characterized by resistively heated diamond anvil cell

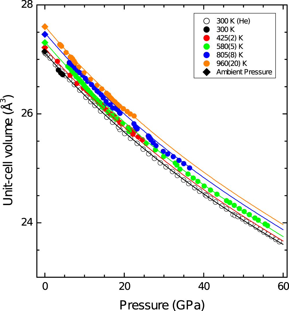
Compression curves of Ru obtained at different temperatures. The symbols represent the measured data whereas the lines represent the corresponding P-V-T EoS. The same color code has been used for both the experiments and the fits.