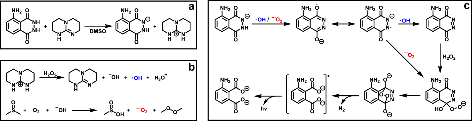
Figure 5
From: A Guanidine-Based Superbase as Efficient Chemiluminescence Booster

(a) (De-)Protonation of luminol and TBD in DMSO. (b) Generation of ROS by reaction of TBDH+ with H2O2, regeneration of TBD. DMSO reacts with O2 in the solution and the hydroxyl anions, formed during the reaction of TBDH+ with H2O2. (c) Oxidation of the luminol mono-anion by the formed ROS, leading to the emission of visible light.