Thank you for visiting nature.com. You are using a browser version with limited support for CSS. To obtain
the best experience, we recommend you use a more up to date browser (or turn off compatibility mode in
Internet Explorer). In the meantime, to ensure continued support, we are displaying the site without styles
and JavaScript.
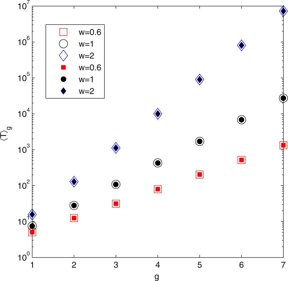
Verification of analytical solutions on weighted Koch network. ATT 〈T〉g for three different values of θ and g. The filled symbols represent the data of numerical results and the empty symbols are the analytical values given by Eqs (19) or (20).