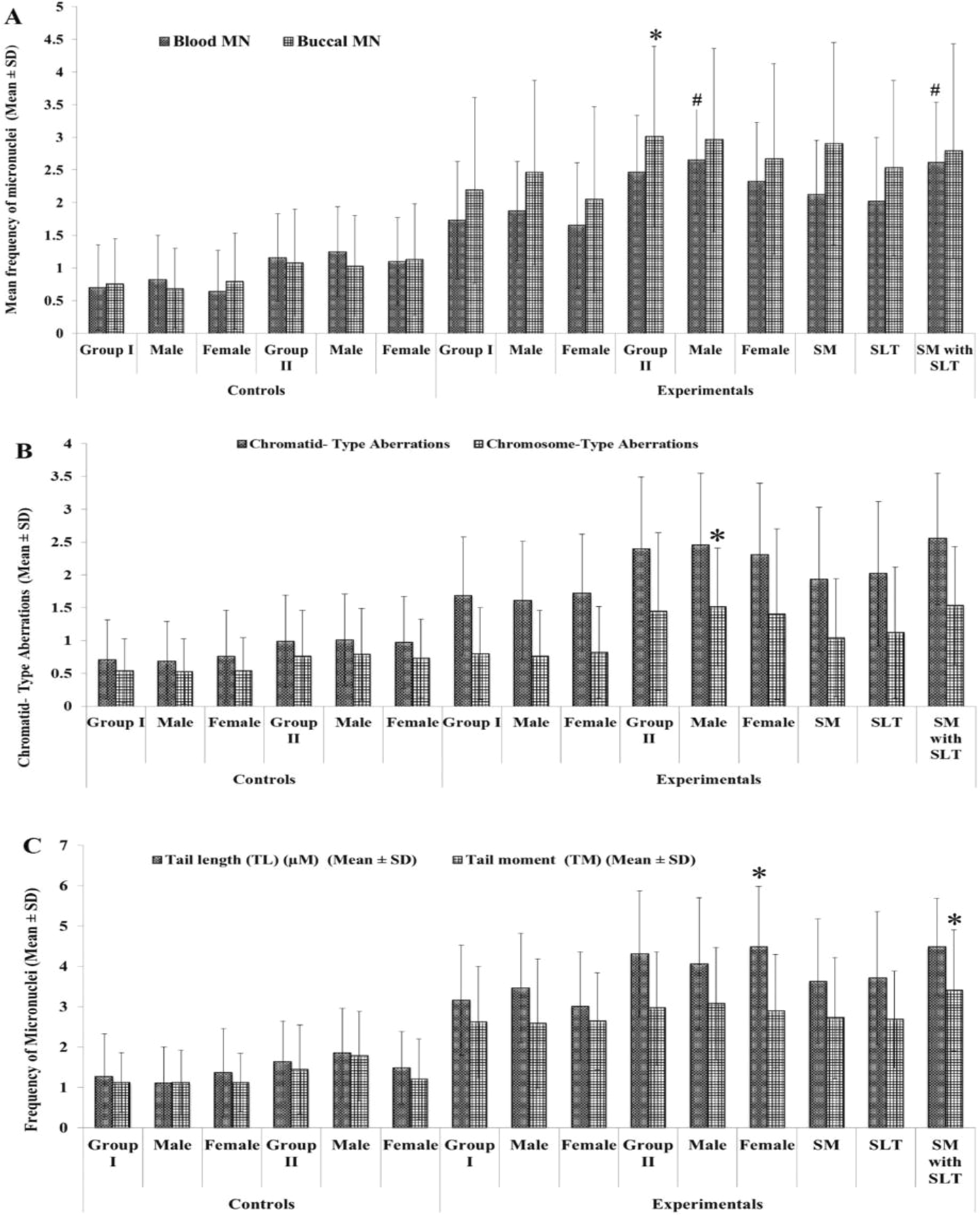
Figure 1

(A) Represent the frequencies of micronuclei in buccal and blood cells of tobacco exposures and controls. Blood MN level was elevated when compared to the controls and other subjects. #indicates significantly higher when compared to female and other groups. (B) Shows the chromosome alterations in controls and experimental subjects. A super scribed (*) indicates the data is significance at p < 0.005 level when compared to other subjects. (C) Demonstration of comets scored in blood cells of tobacco users and controls. A super scribed (*) indicate the significance at p < 0.005 level when compared to other subjects.