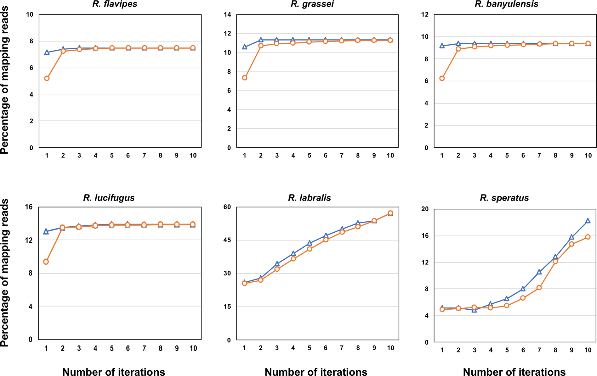
Figure 1

Short reads recruitment across iterations. Relationships between the number of iterations of the process (x axis) and mapped reads (% of the total reads; y axis) using congeneric (blue triangles) or intra-familial (orange circles) references.