Figure 2

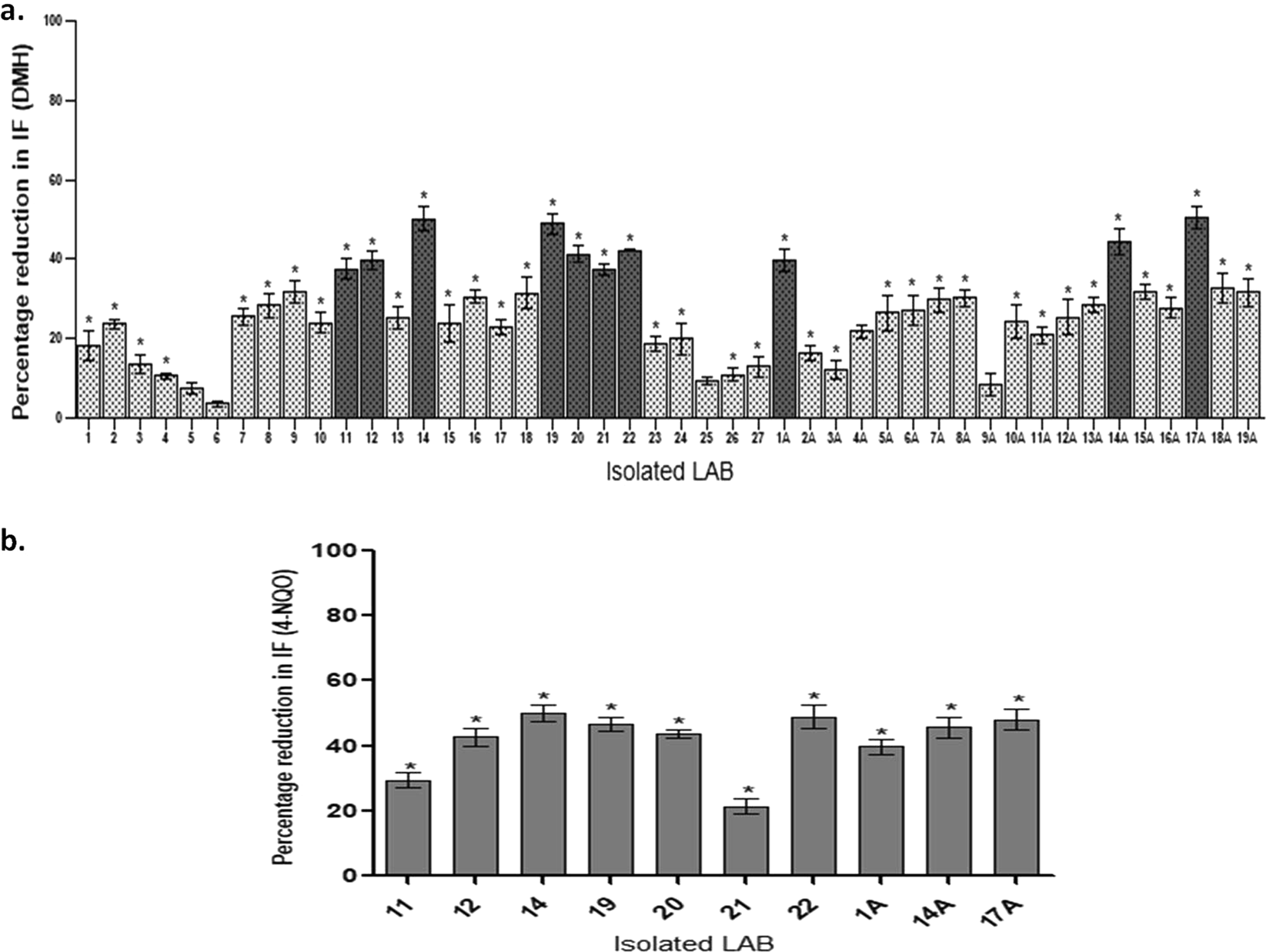
Antigenotoxicity (% reduction in induction factor) of isolated LAB against E. coli PQ37 induced by DMH (a); 4-NQO (b). Values are mean ± SD. *p < 0.05 v/s DMH/4-NQO.

Antigenotoxicity (% reduction in induction factor) of isolated LAB against E. coli PQ37 induced by DMH (a); 4-NQO (b). Values are mean ± SD. *p < 0.05 v/s DMH/4-NQO.