Figure 6

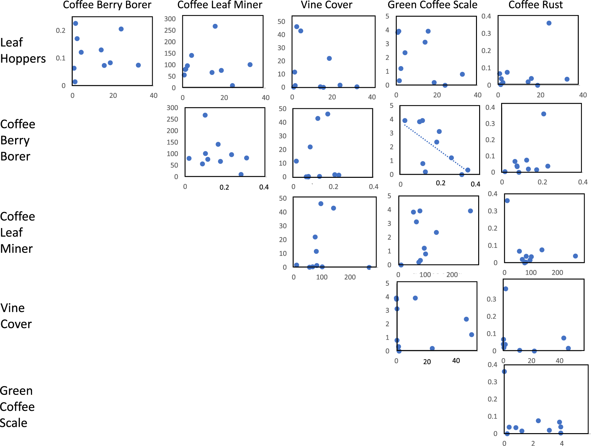
Relationship at the farm level between the six pest species evaluated in this study. Dashed line represents significant lineal relationship at p < 0.05.

Relationship at the farm level between the six pest species evaluated in this study. Dashed line represents significant lineal relationship at p < 0.05.