Figure 7
From: Tropical forest soils serve as substantial and persistent methane sinks

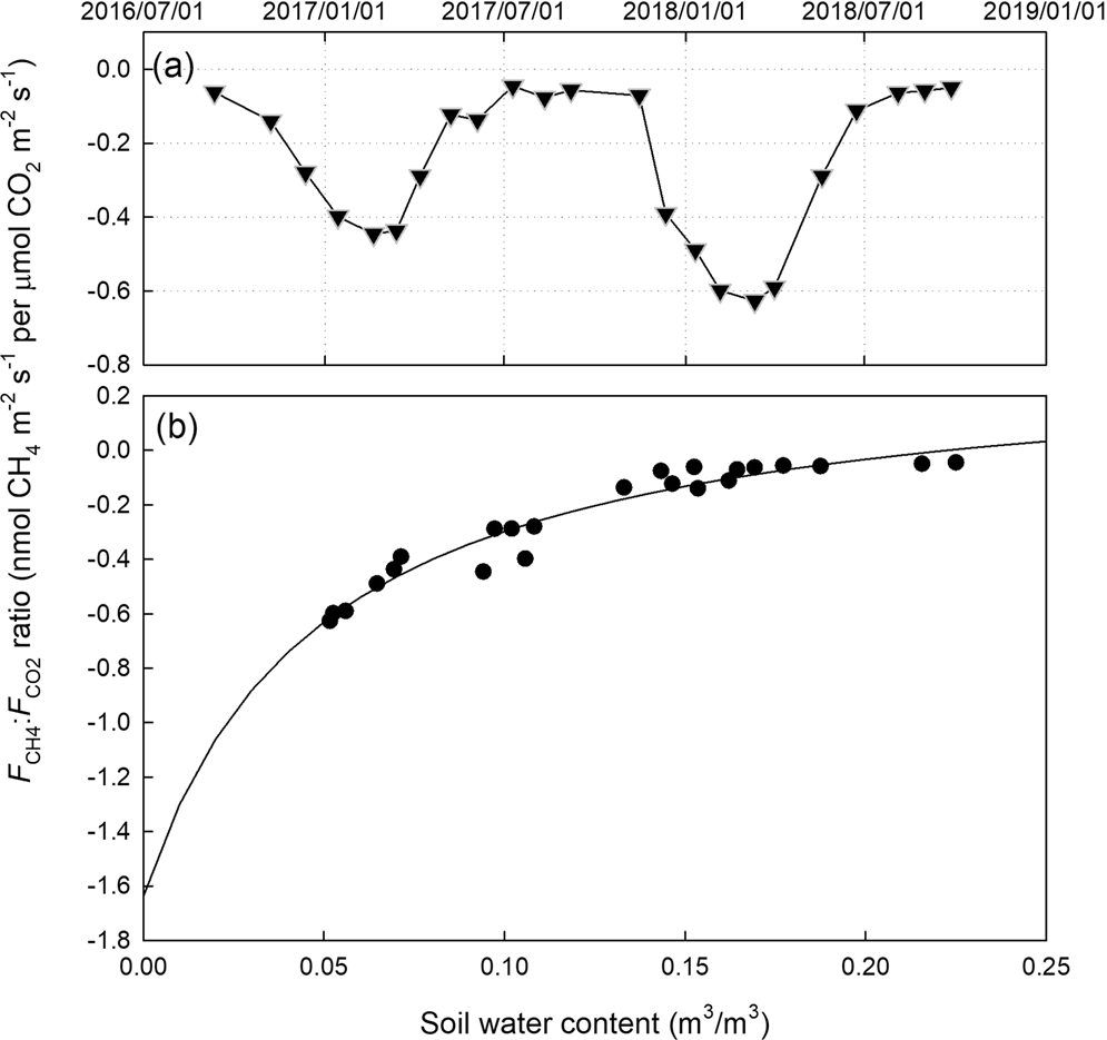
The variation of methane oxidation to soil respiration ratio (a) and the dependence of the ratio on soil moisture (b).
From: Tropical forest soils serve as substantial and persistent methane sinks

The variation of methane oxidation to soil respiration ratio (a) and the dependence of the ratio on soil moisture (b).