Figure 2
From: Jensen’s force and the statistical mechanics of cortical asynchronous states

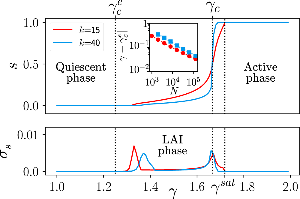
Overall steady-state averaged network activity s for the E/I model on a sparse hyper-regular network (\(N=16,000\)) in which all nodes have the same (in-)connectivity k (with either \(k=15\) or \(k=40\)) and the same fraction of (\((1-\alpha )k\)) excitatory and (αk) inhibitory inputs (\(\alpha =0.2\) here). (A, Bottom) Variance across (103) runs of the total network activity averaged in time windows of a given length (\(T={10}^{4}\) MonteCarlo steps) as a function of the coupling strength γ for two different values of the connectivity k; each curve shows two marked peaks, indicative of two phase transitions. The leftmost one, \({\gamma }_{c}^{e}(k,N)\), shifts towards \({\gamma }_{c}^{e}\) in the large-N limit, obeying finite-size scaling, as illustrated by the straight line in the double-logarithmic plot of the inset. On the other hand, the second peak is a remanent of the mean-field first-order transition at \({\gamma }_{c}=1/(1-2\alpha )=1.66\ldots \) and is less sensitive to finite-connectivity effects (it is always located at the point where \(s=1/2\)).