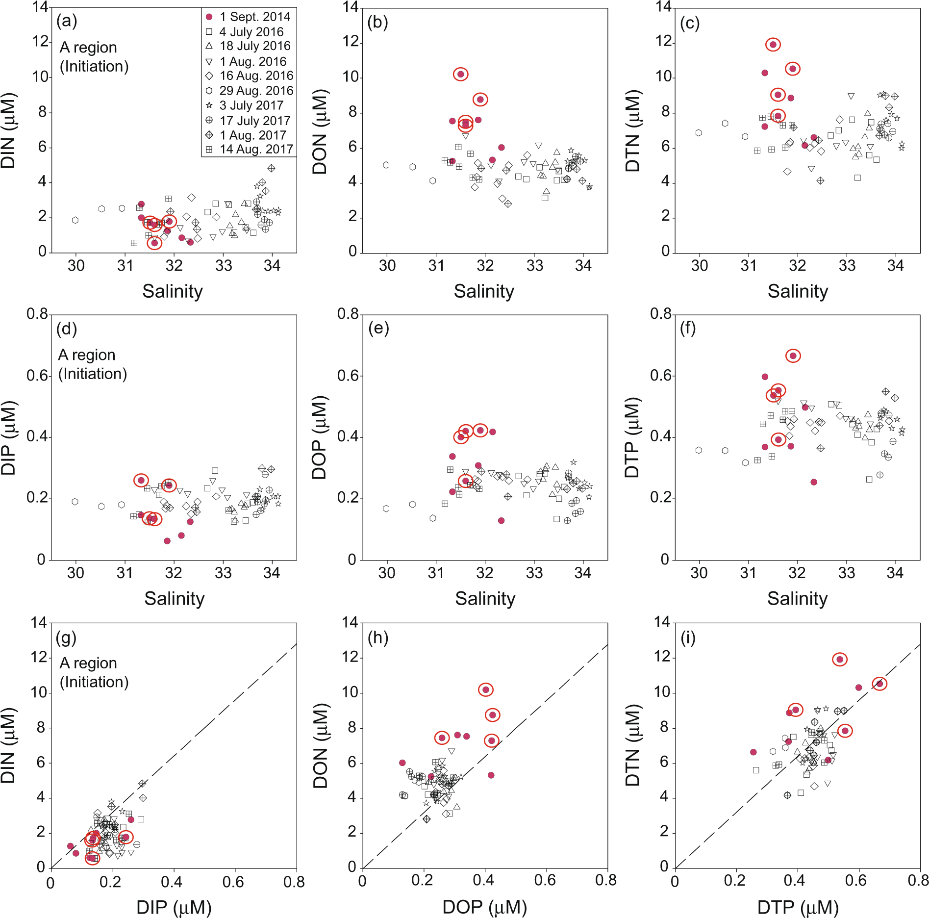
Figure 2

Scatter plots of salinities versus (a) DIN, (b) DON, (c) DTN, (d) DIP, (e) DOP, (f) DTP concentrations, (g) DIN versus DIP concentrations, (h) DON versus DOP concentrations, and (i) DTN versus DTP concentrations in the surface waters of Tongyeong (A region) during the summers of 2014, 2016, and 2017. The red filled circles denote the stations in the outbreak period of red tides. The red open-circled stations denote the center of the red-tide patches. The dashed lines indicate the Redfield ratio (N:P = 16).