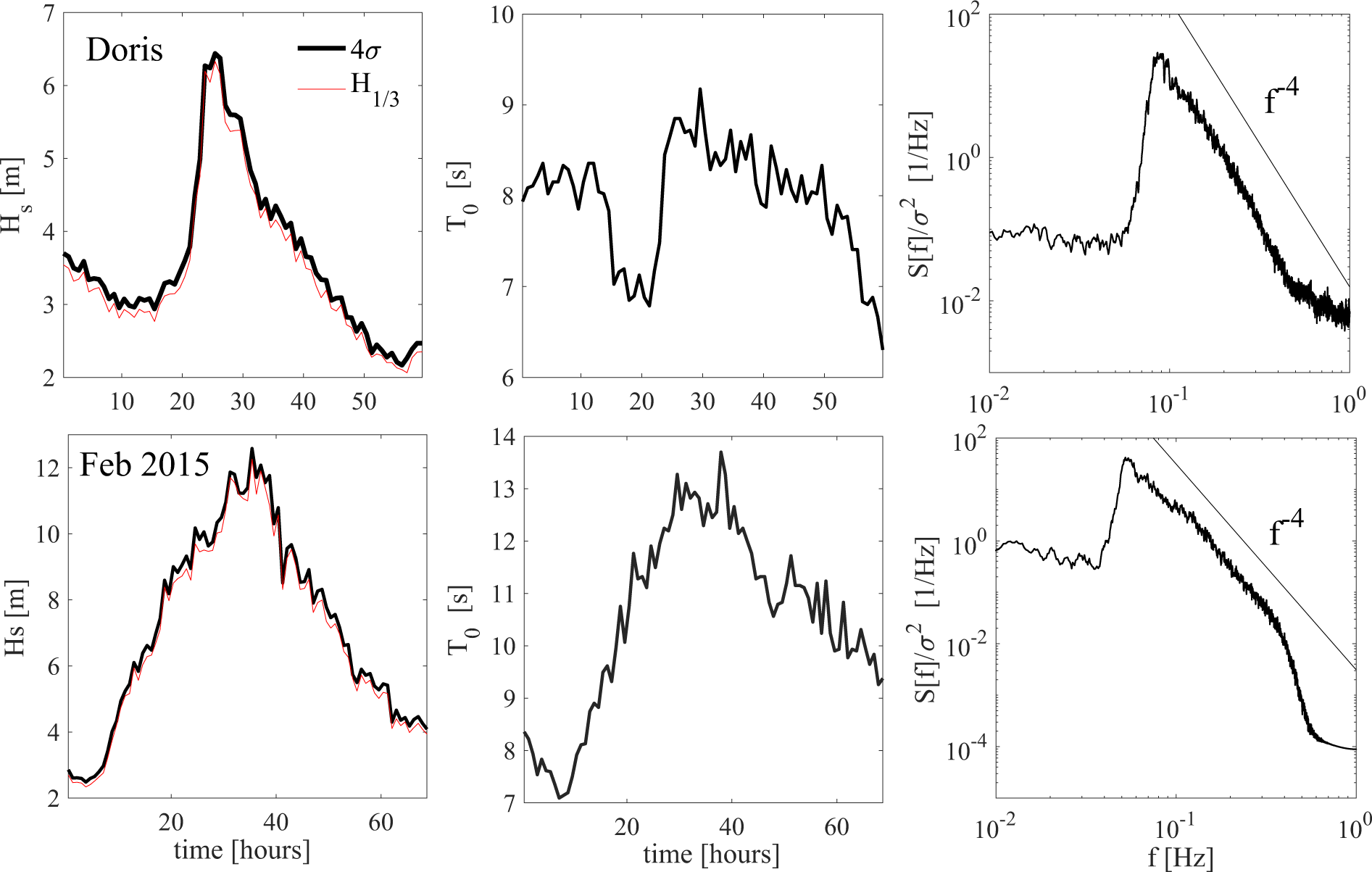
Figure 3

History of metocean parameters in (top panels) Doris and (bottom panels) Feb 2015 storms: (left) hourly variations of significant wave height Hs = 4σ compared to actually observed H1/3, (center) variation of mean zero-up-crossing period T0, and (right) surface spectra at peak stage of storms and their high-frequency saturation compared to a logarithmic f−4 type decay.