Figure 6
From: Arctic seabirds and shrinking sea ice: egg analyses reveal the importance of ice-derived resources

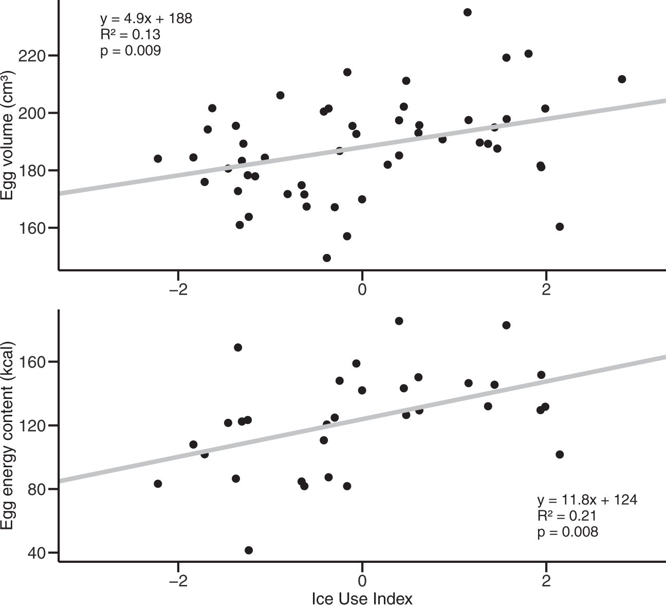
Influence of ice association (ice use index) on egg parameters of thick-billed murres: egg volume (top) and egg energetic content (bottom).