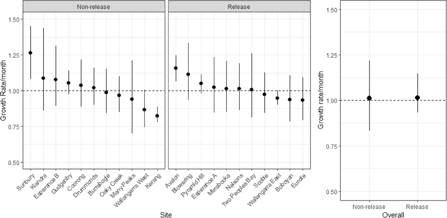
Figure 6

Finite monthly growth rate estimates for each of the K5 release and non-release (control) professionally monitored sites. Above the horizontal dashed line indicates a population increase between pre- and post-release surveys, while below the dash line indicates a decrease. Vertical lines indicate the 95% credible intervals.