Figure 1

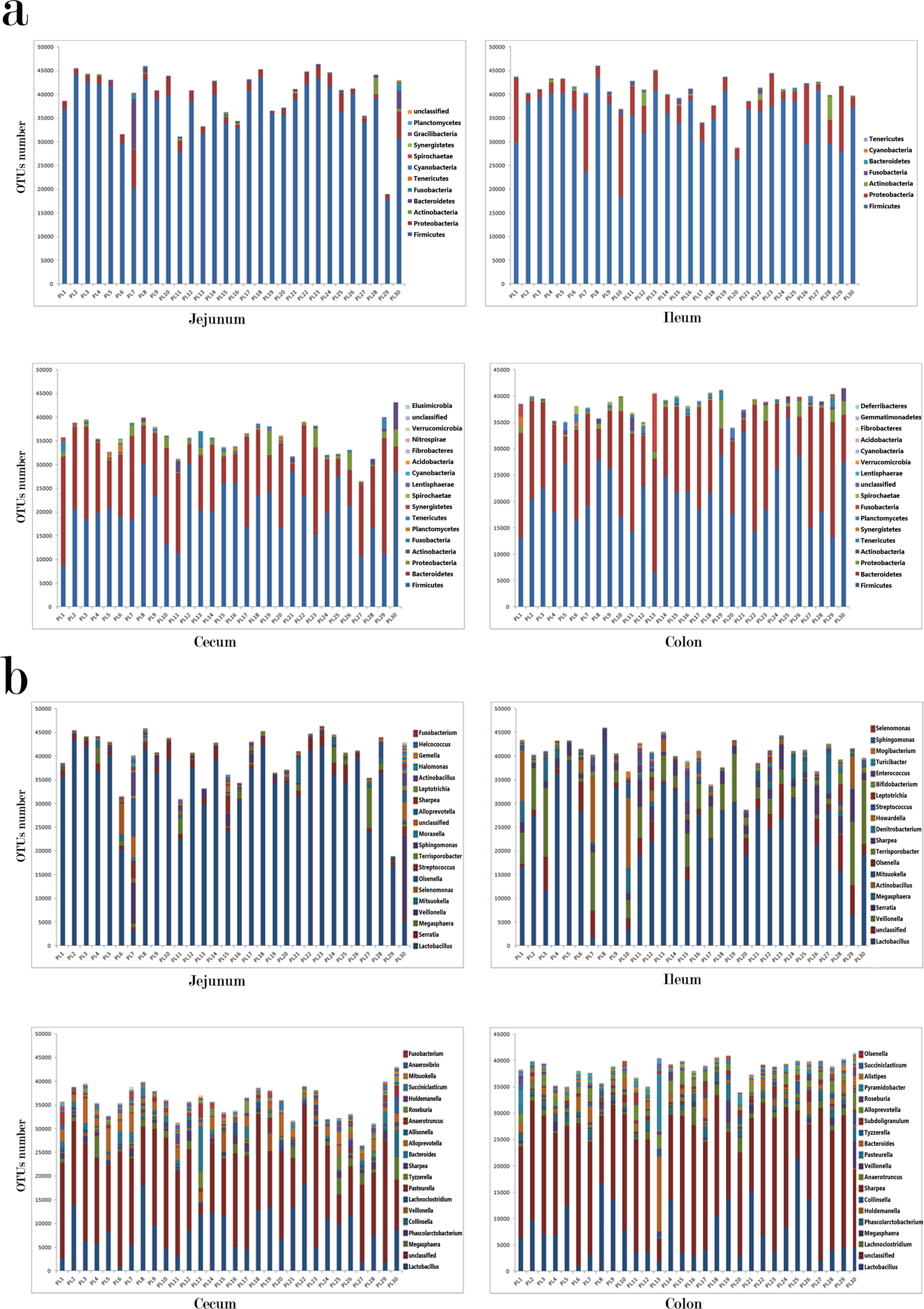
The OTUs abundances of the microbiome in different intestinal segments at the phylum level (a) and genus level (b); the legend only displays the top 20 abundant microorganisms.

The OTUs abundances of the microbiome in different intestinal segments at the phylum level (a) and genus level (b); the legend only displays the top 20 abundant microorganisms.