Figure 1

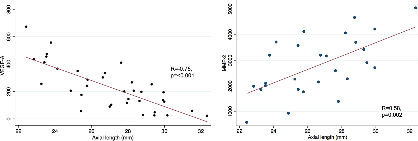
Scatterplots of concentrations of vascular endothelial growth factor isoform A (VEGF-A) and matrix metalloproteinase-2 (MMP-2) in aqueous humour samples, plotted against axial length.

Scatterplots of concentrations of vascular endothelial growth factor isoform A (VEGF-A) and matrix metalloproteinase-2 (MMP-2) in aqueous humour samples, plotted against axial length.