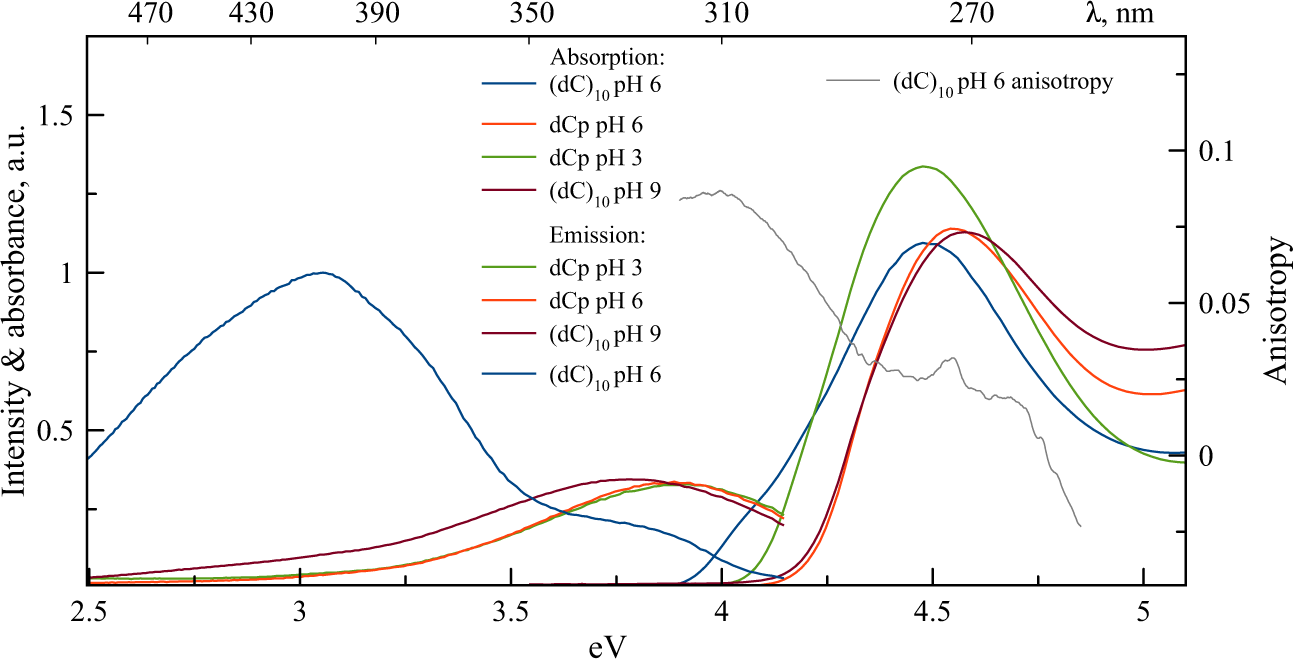
Figure 3

Absorption, fluorescence (λex = 260 nm), and fluorescence excitation anisotropy (λem = 400 nm) spectra of dCp and (dC)10 at different pH values. The absorbance values are given per base, with the hypochromic effect being determined from the melting curve of (dC)10 at pH 9. The fluorescence emission spectra are λ2-scaled.