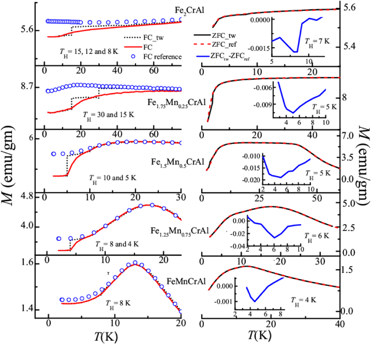
Figure 6

Temperature dependent memory effect of all the alloys at different halt temperatures (TH); Left panel: Under FC condition. Right panel: Under ZFC condition. Insets of right panel: Temperature response of ZFCtw-ZFCref.

Temperature dependent memory effect of all the alloys at different halt temperatures (TH); Left panel: Under FC condition. Right panel: Under ZFC condition. Insets of right panel: Temperature response of ZFCtw-ZFCref.