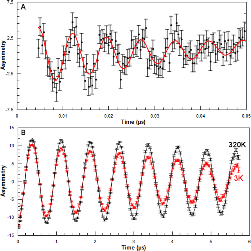
Figure 2
From: Influence of confinement on free radical chemistry in layered nanostructures

Time-domain asymmetry, expressed in percentage, in synthetic talc at (nominally) 100 G. (A) Decay rate of Mu. Data recorded at 3 K within a 0.05 μs time range. The black dots and bars represent experimental data points and uncertainty, respectively, whereas the red line indicates a theoretical fit to the data using Eq. 1 reported in Methods section. (B) Decay rates of the positive muon (µ+). The data were recorded at 3 and 320 K within a 6 μs time range. The black dots (resp. red) and line represent the experimental data and theoretical fit (to Eq. 1 in Methods section) at 320 K (resp. 3 K).