Figure 1

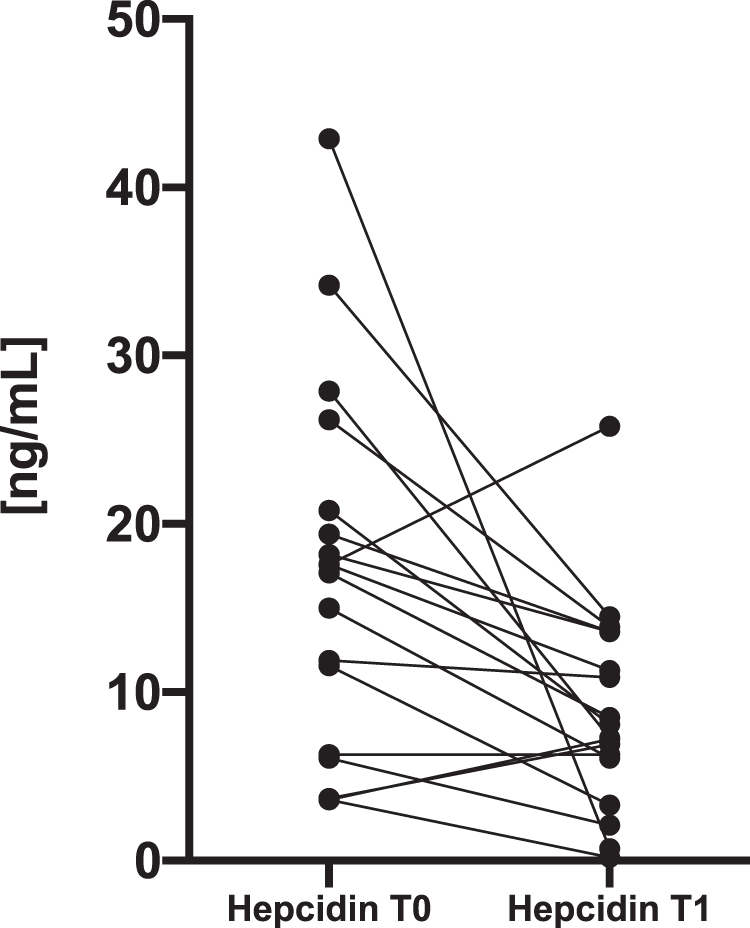
The plot of the individual patients’ hepcidin levels before (T0) and after treatment (T1) of hypothyroidism. Baseline median (17.4 [7.6–20.4] ng/mL) and follow-up (7.7 [6.2–13.0] ng/mL).

The plot of the individual patients’ hepcidin levels before (T0) and after treatment (T1) of hypothyroidism. Baseline median (17.4 [7.6–20.4] ng/mL) and follow-up (7.7 [6.2–13.0] ng/mL).