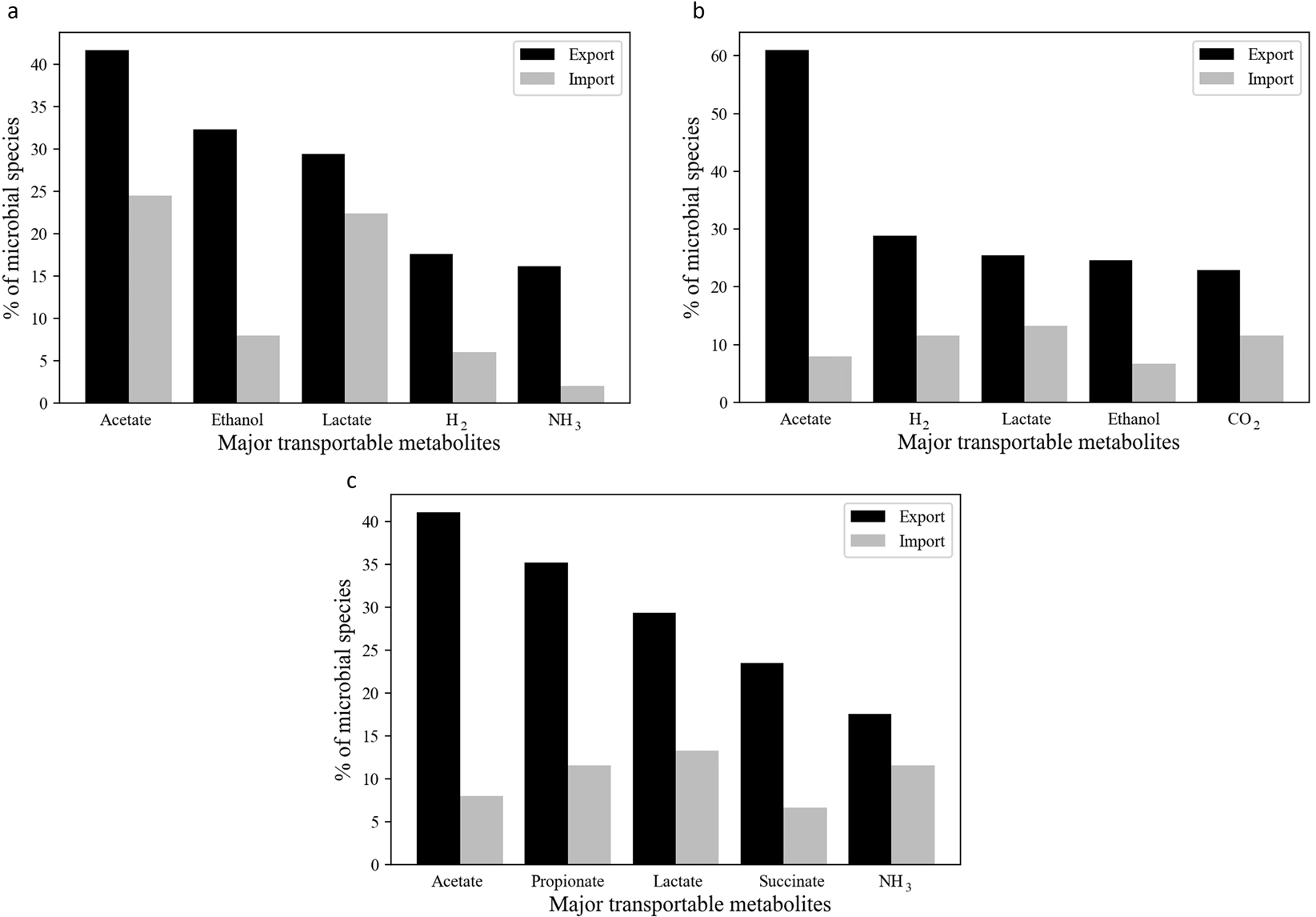
Figure 5

Frequently exported microbial byproducts and their consumption profile in different gut segments of N. corniger. The percentage of metabolic byproducts formation/consumption has been evaluated based on the number of microbial producers/consumers in different gut segments of N. corniger. (a) Five most commonly exported metabolic byproducts in segment S1 are acetate, ethanol, lactate, hydrogen, and ammonia. (b) In case of S2 segment five major exported metabolic byproducts are acetate, hydrogen, lactate, ethanol, and carbon dioxide. (c) Furthermore, acetate, propionate, lactate, succinate, and ammonia are five most predominant metabolic byproducts in S3 segment. Detail information of the metabolic consumptions and productions has been provided in Table S4.