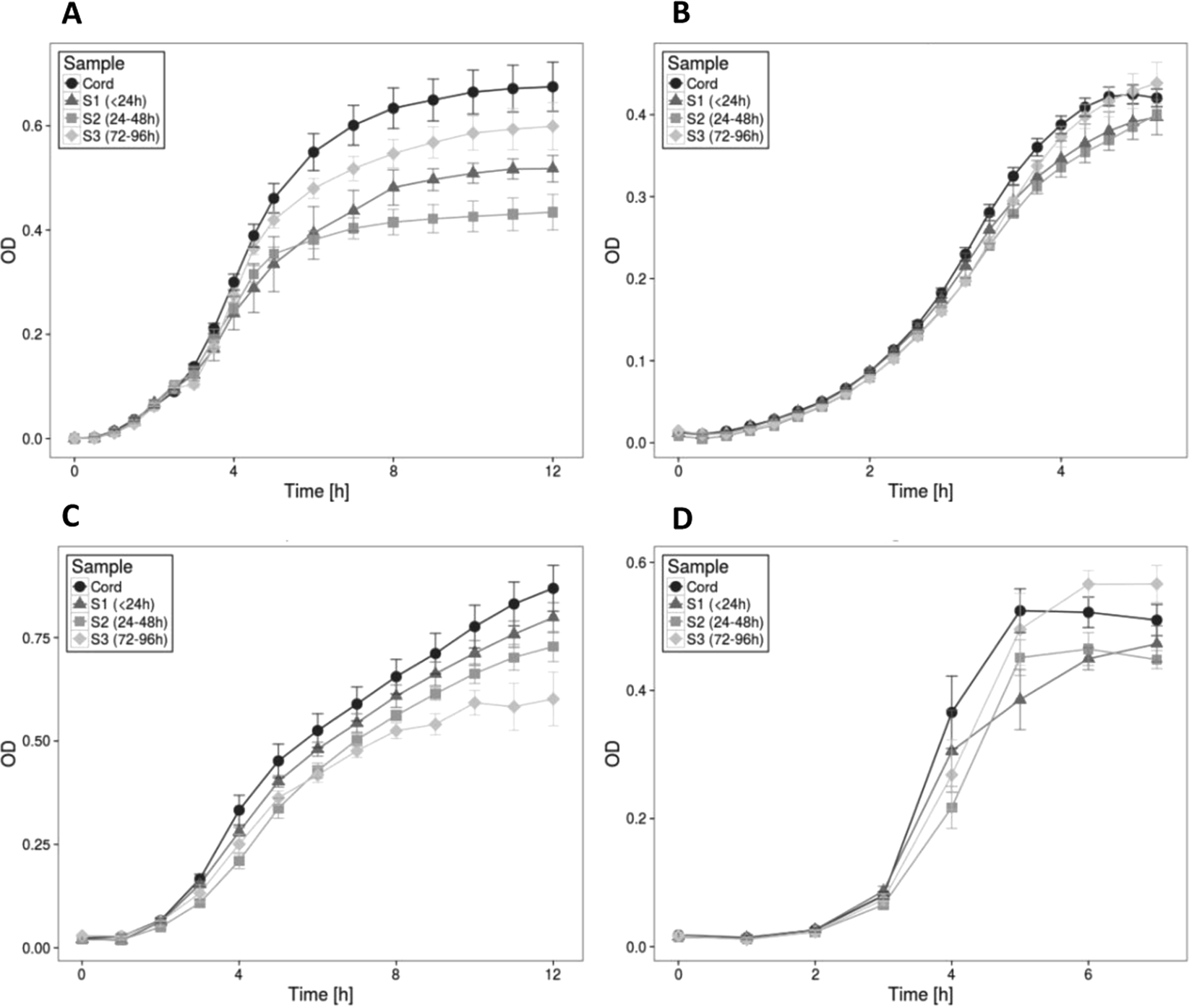
Figure 2

Ex-vivo bacterial growth assays. Ex-vivo bacterial growth assays Growth of E.coli (A), K. pneumoniae (B), S. aureus (C) and S. galactaie (D) in subject serum drawn from the umbilical cord (cord) or from the dorsum of the hand at the following time points after birth, S1 (<24 hours), S2 (24–48 hours) and S3 (72–96 hours). Dots represent the mean at each time point, error bars represent the SD. OD = Optical Density. Growth, was different between cord and S1/2/3 samples for all organisms (p < 0.01), with the exception of the comparison between cord and S3 samples for K. pneumoniae and S. galactai