Figure 2
From: Investigation on the pore characteristics of coal specimens with bursting proneness

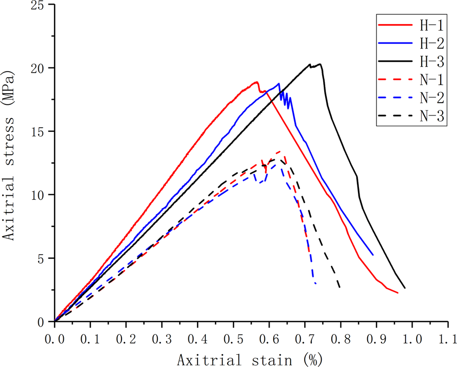
Stress-strain curves of the two groups of specimens.
From: Investigation on the pore characteristics of coal specimens with bursting proneness

Stress-strain curves of the two groups of specimens.