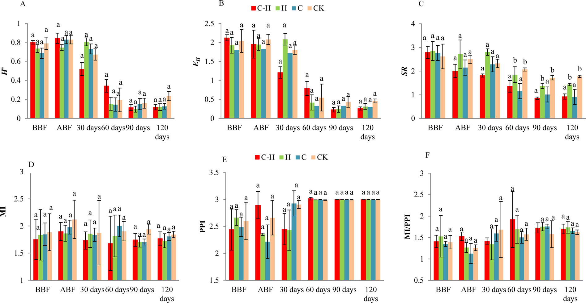
Figure 5

Effect of combination treatment of HDZ-9-47 and biofumigation on the Shannon diversity (H′) (A), Pielou evenness (EH) (B), Margalef richness (SR) (C), and maturity indices of free-living nematodes (MI, D), plant parasitic nematodes (PPI, E) and MI/PPI (PPI, F) at different sampling dates. C-H: combination of Streptomyces rubrogriseus HDZ-9-47 and biofumigation with cabbage. H: HDZ-9-47 alone. C: soil biofumigation with cabbage. BBF and ABF: before- and after biofumigation, respectively. Error bars represent standard deviation. The different letters on each bar within same sampling time represent significant differences at the 0.05 level based on Tukey’s multiple comparison test.