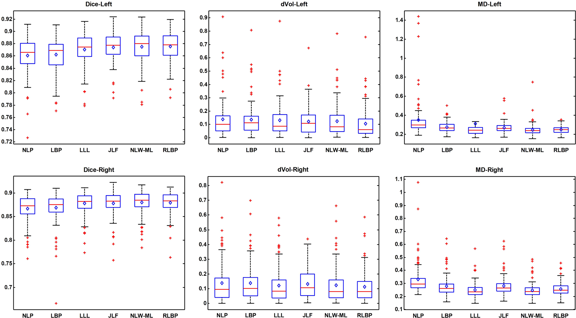
Figure 7

Comparison of various methods for segmenting left hippocampus (top row) and right hippocampus (bottom row) in terms of the Dice, dVol and MD indexes. In each box, the central line is the median, and the central diamond is the mean. The edges of each box are the 25th and 75th percentiles.