Figure 5
From: Magnetic field assisted beam-scanning leaky-wave antenna utilizing one-way waveguide

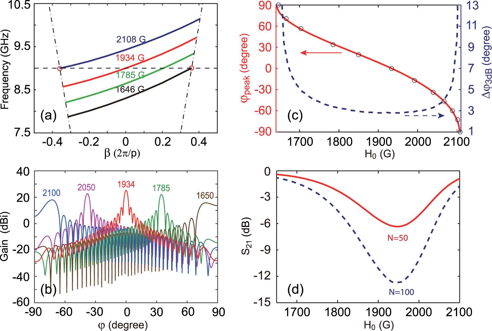
(a) Dispersion relations of the leaky mode of LWA for various H0. The horizontal dashed line shows the fixed frequency of f0 = 9 GHz for the LWA with continuous magnetic field scanning. (b) Far-field radiation patterns (gain) of the LWA with continuous magnetic field scanning. (c) The numerical (solid line) and analytic (circles) results of \({\phi }_{peak}\), and \(\Delta {\phi }_{3dB}\) (dashed line) versus H0. (d) S21 versus H0 of the LWA for \(N=50\) (solid line) and \(N=100\) (dashed line).