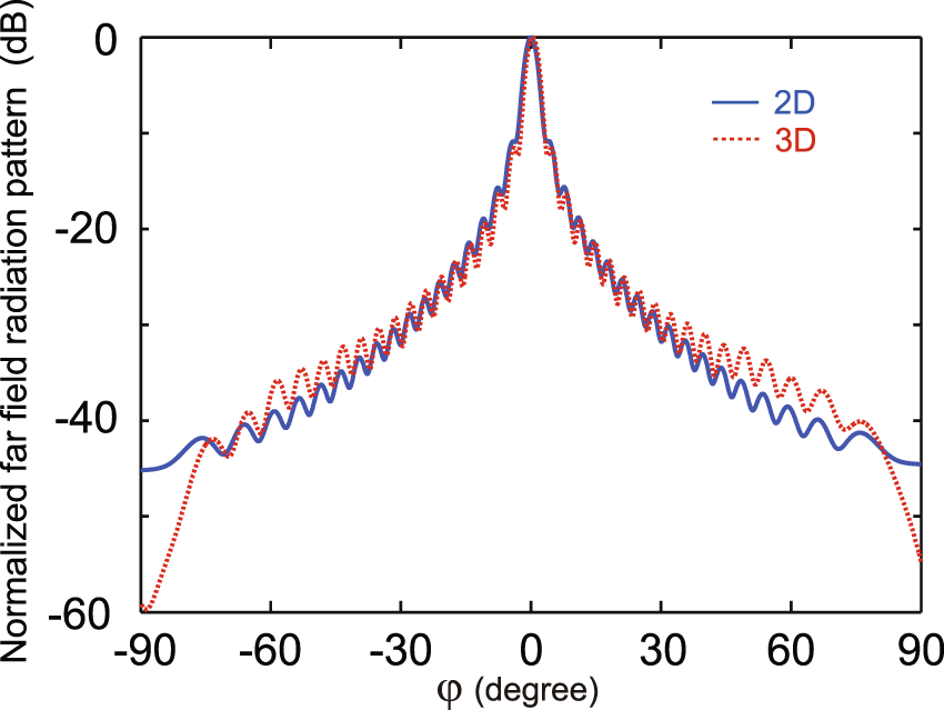
Figure 6
From: Magnetic field assisted beam-scanning leaky-wave antenna utilizing one-way waveguide

The normalized far-field radiation patterns of the 2D LWA (solid line) and 3D LWA with the waveguide width of \(L=5\,{\rm{mm}}\) (dashed line) for \({{\rm{H}}}_{0}=1934\,{\rm{G}}\) and \(\Delta H=5\,{\rm{G}}\) in the xy plane. The working frequency is f = 9 GHz.