Figure 10
From: Hydrothermal Synthesize of HF-Free MIL-100(Fe) for Isoniazid-Drug Delivery

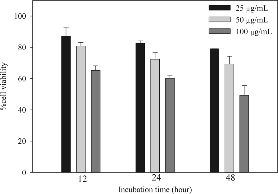
Cell viability assay of MIL-100(Fe) at different concentrations and certain incubation period.
From: Hydrothermal Synthesize of HF-Free MIL-100(Fe) for Isoniazid-Drug Delivery

Cell viability assay of MIL-100(Fe) at different concentrations and certain incubation period.