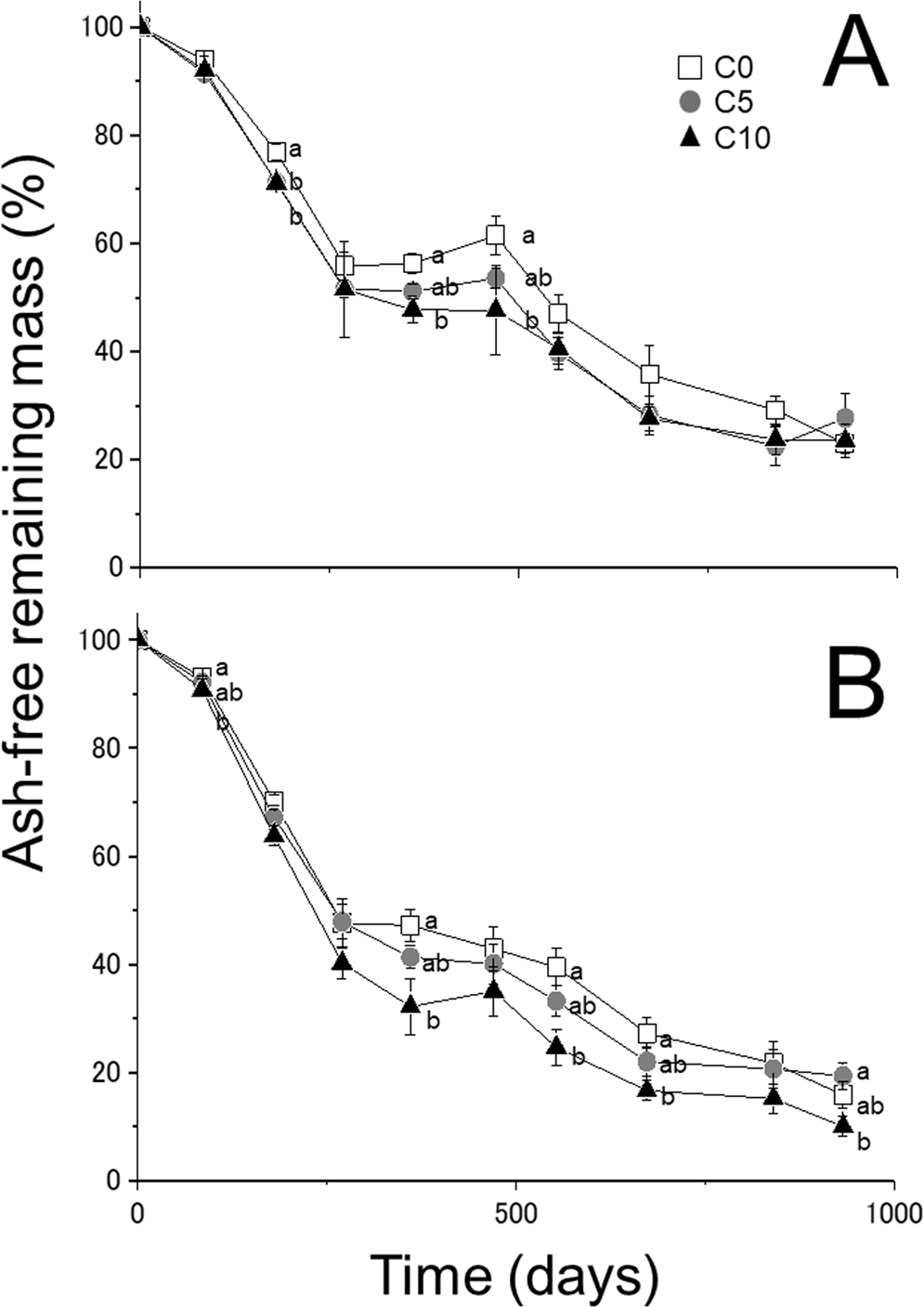
Figure 1

Change in remaining mass in (A) new litter (NL) and (B) old litter (OL) over 932 days at 0 t ha−1 (C0), 5 t ha−1 (C5) and 10 t ha−1 (C10) biochar. Symbols show means and bars indicate standard errors (n = 9). Different letters indicate statistically significant differences (p < 0.05) between biochar addition rates.