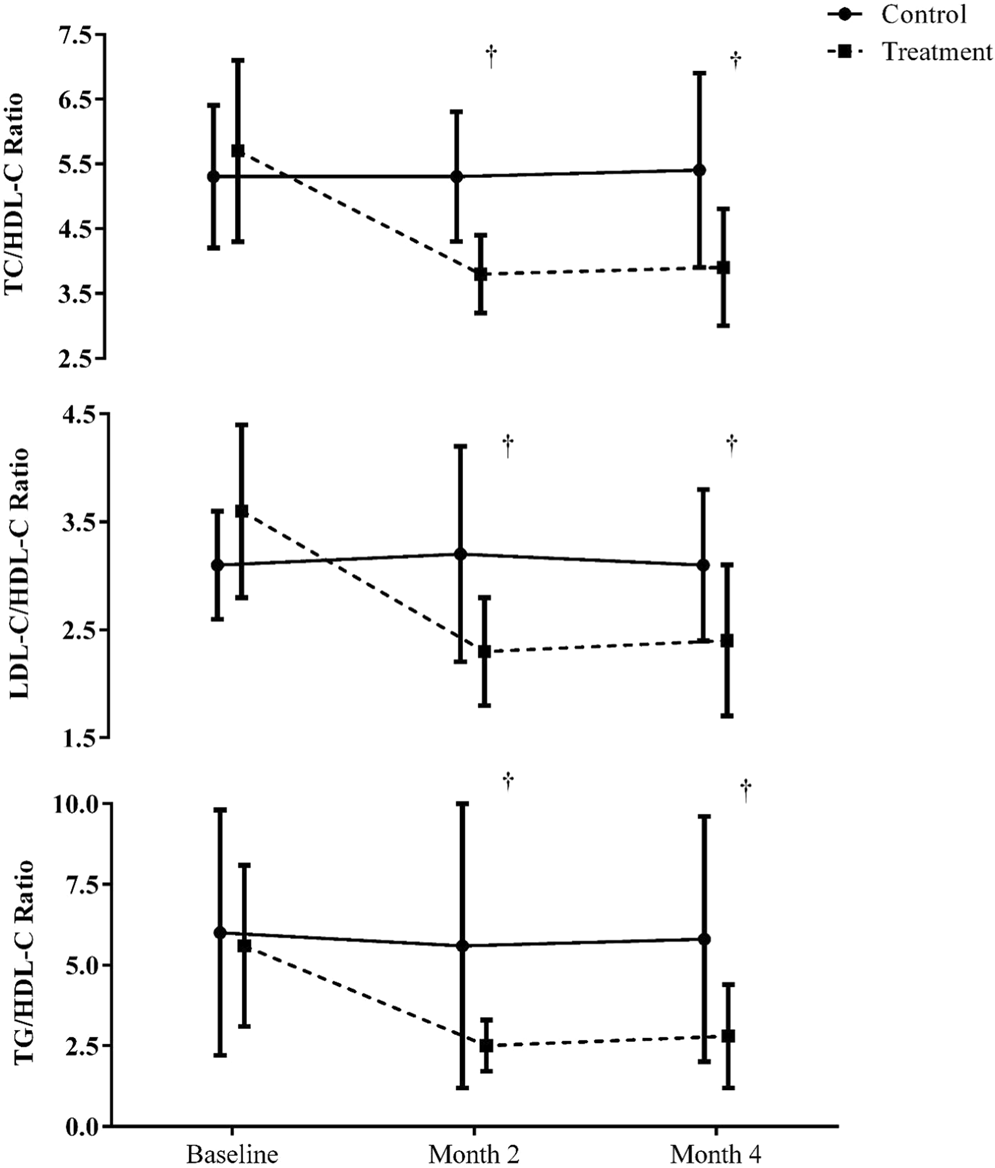
Figure 2

Changes in the TG/HDL-C, LDL-C/HDL-C and TC/HDL-C ratios by group at each visit. Data are offset to enhance visualization. A significant time main (p < 0.01) and interaction (p < 0.01) effect were observed for each ratio. Post-hoc tests reveal that the Month 2 and 4 values in the treatment group were significantly lower than controls (†p < 0.05).