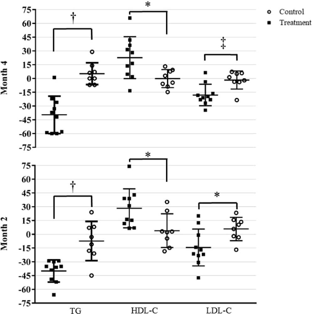
Figure 3

Percent change from baseline for lipids by group. Data presented as dot plots with the group mean (horizontal line) and standard deviation for each lipid. For each within visit comparison of a lipid, the groups had significantly different percentage change from baseline (†p < 0.001; ‡p < 0.01; *p < 0.05).