Figure 3
From: In-situ study of oxygen exposure effect on spin-orbit torque in Pt/Co bilayers in ultrahigh vacuum

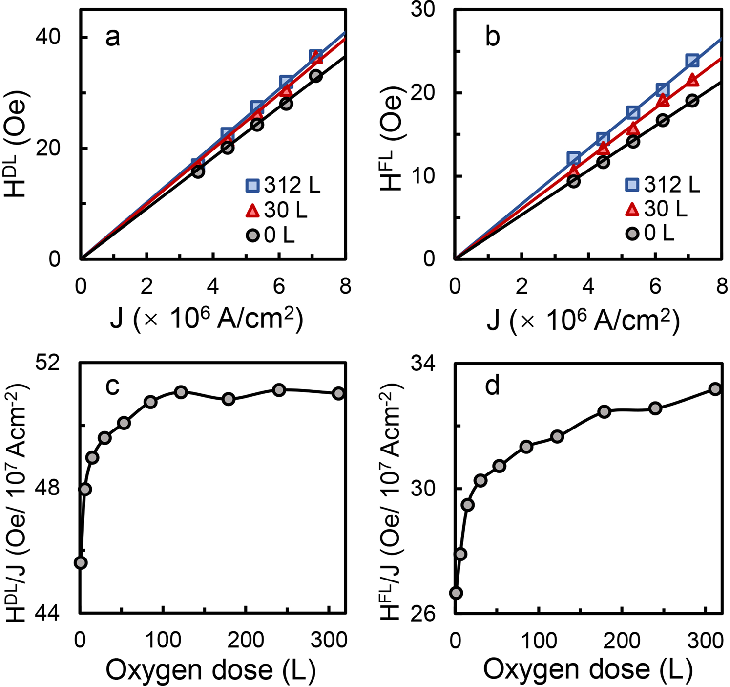
(a) Damping-like SOT effective field HDL and (b) field-like SOT effective field HFL as a function of current density J at oxygen dose of 0 L (circle), 30 L (triangle) and 312 L (square); the lines are linear fittings of HDL versus J. (c) HDL/J and (d) HFL/J as a function of oxygen dose.