Figure 2

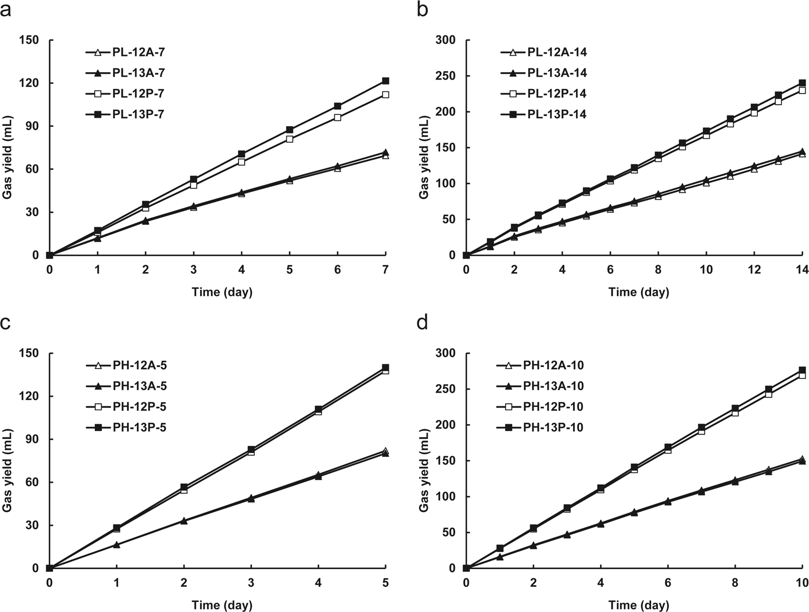
Biogas yields of DNA-SIP incubations with PL (a,b) and PH (c,d) sludge. Error bars represent the standard deviation of three replicates.

Biogas yields of DNA-SIP incubations with PL (a,b) and PH (c,d) sludge. Error bars represent the standard deviation of three replicates.