Figure 8
From: Low-frequency oscillations in coupled phase oscillators with inertia

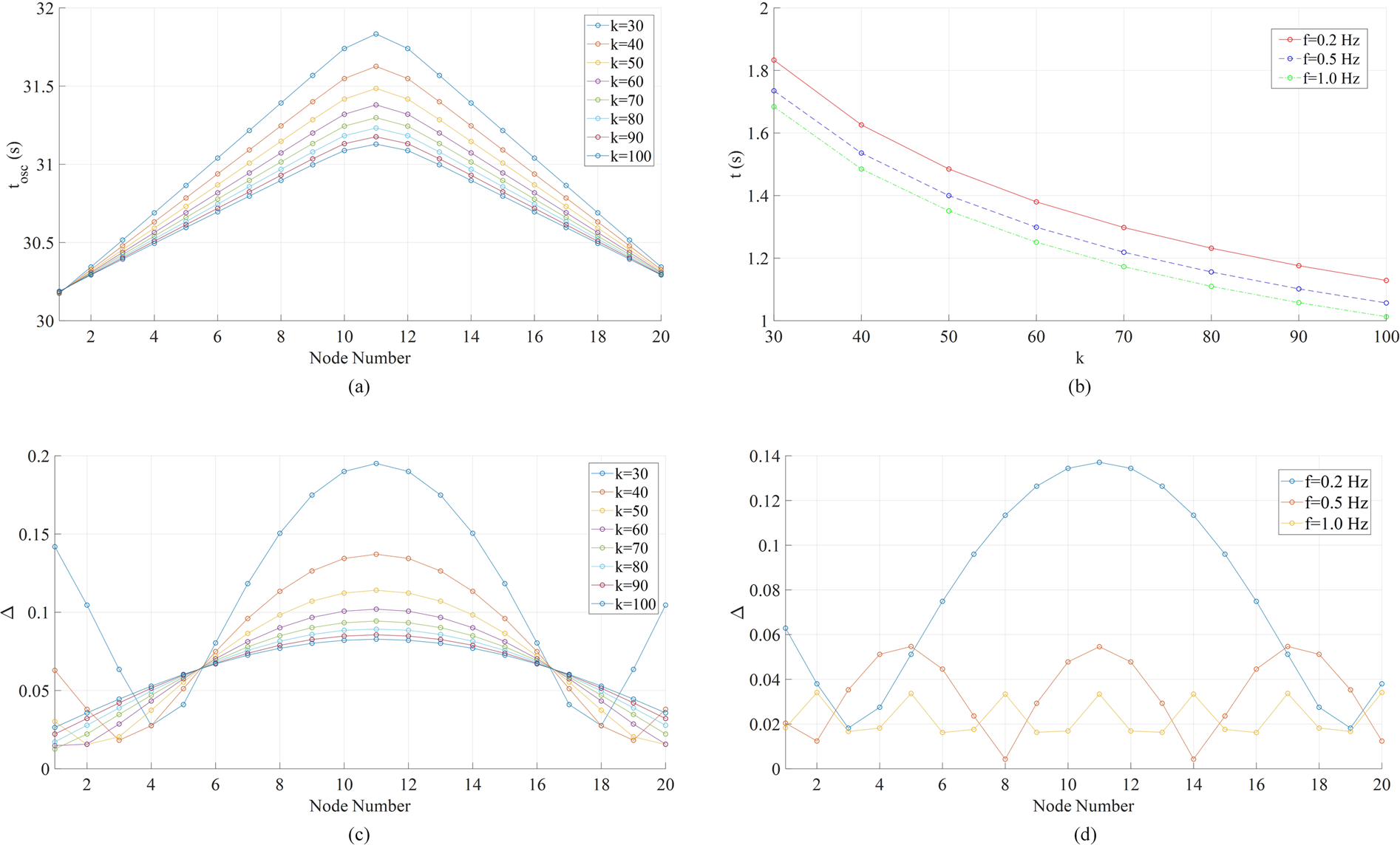
Phase fluctuation in the circular 20-node network in Fig. 7. The damping coefficient α = 0.2 and forcing amplitude A = 1. (a) Propagation of phase oscillations along the ring with f = 0.2 Hz and the global coupling strength k varying from 30 to 100. The propagation is represented by the time the oscillation starts at each node. (b) Effect of the global coupling strength k and forcing frequency f on the start time of the oscillation at the most distant node (node 11) after the application of the external forcing. (c) Phase fluctuation peak-to-peak magnitudes Δ with f = 0.2 Hz and various global coupling strength k. (d) Phase fluctuation peak-to-peak magnitudes Δ with global coupling strength k = 40 and different driving forcing frequencies f.