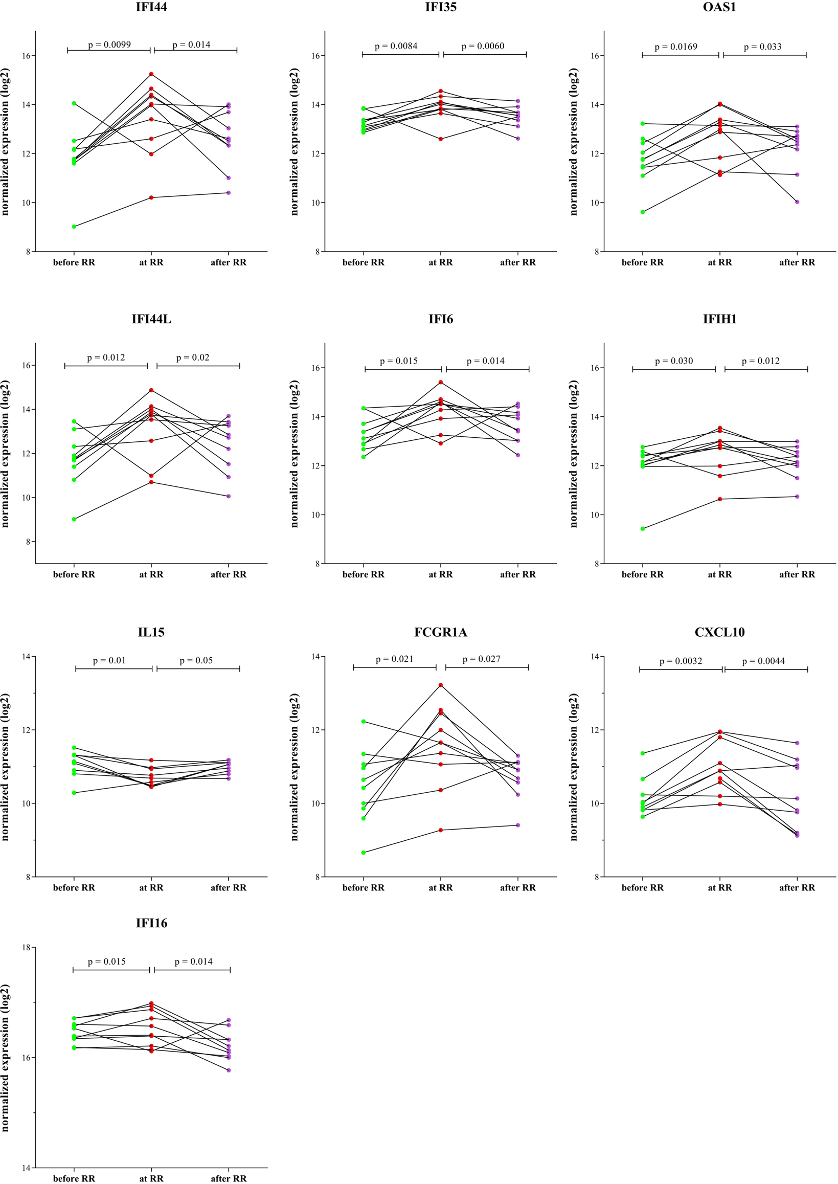
Figure 5

Intra-individual longitudinal expression of patients who developed RR. Direct ex vivo RNA expression values were assessed by dual-color RT-MLPA on whole blood of 10 leprosy patients who developed RR during this study. Blood was analyzed at three time points: in the absence of any clinical signs of reactions and at least two months before RR (t = 0), at RR diagnosis before steroids (t = x) or after MDT and at least one month after end of steroids, in the absence of reactions (t = end). Log2-transformations of peak areas (normalized for GAPDH expression) are shown on the y-axis. Wilcoxon signed-rank test was performed. Genes with a significant difference (p-value < 0.05) in expression between before RR-at RR and at RR-after RR are shown.