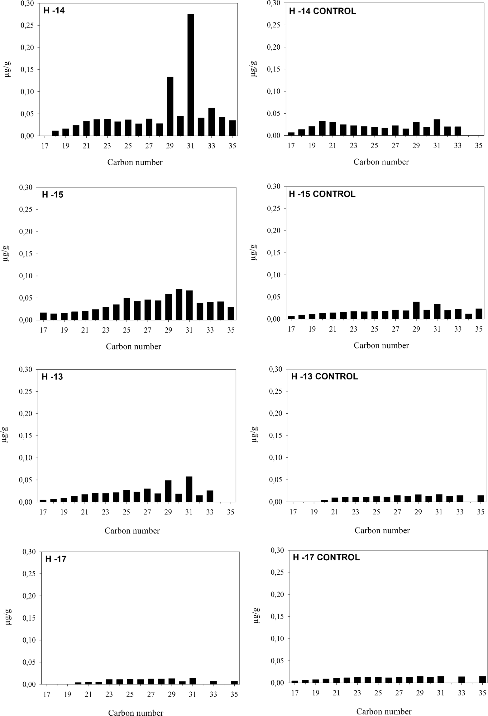
Figure 6

Histograms displaying n-alkane concentrations in combustion features and associated control samples collected from thermally unaltered sediments immediately adjacent (x-axis = number of carbons; y-axis = concentration in μg per g of dry sediment).