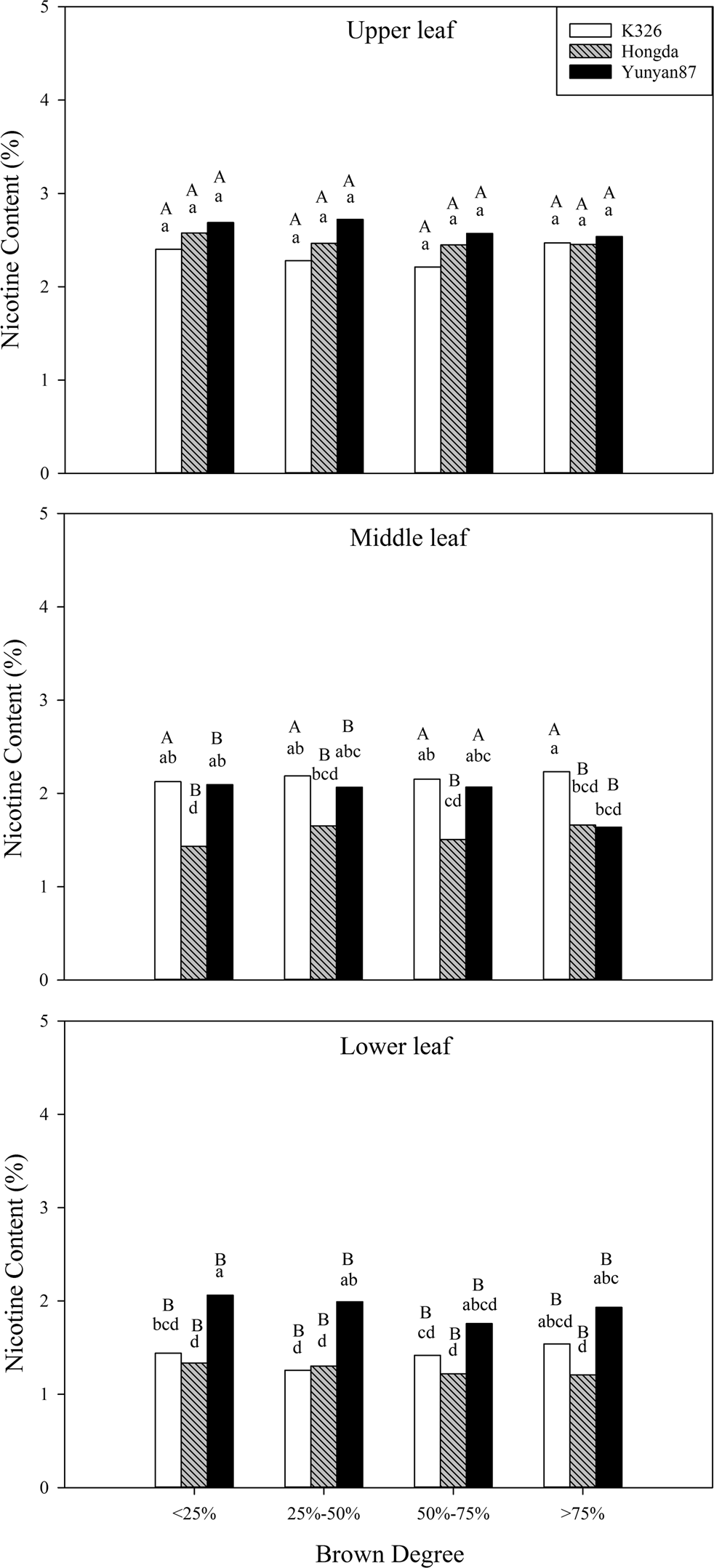
Figure 11

Effects of different BDs on nicotine contents in flue-cured tobacco cultivars. Note: Different lowercase letters represent significant differences in nicotine contents in tobacco leaves at same positions under combinations of different cultivars and BDs. Different capital letters indicate the significant differences in nicotine contents in tobacco leaves at different positions under combinations of the same cultivar and BD.