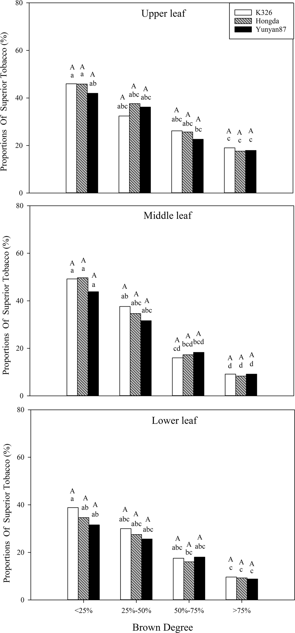
Figure 4

Effects of different BDs on the proportions of superior tobacco in flue-cured tobacco cultivars. Note: Different lowercase letters represent significant differences in proportions of superior tobacco between combinations of different cultivars and BDs in the same position. Different capital letters denote the significant differences in proportions of superior tobacco at different positions under combinations of the same cultivar and BD.