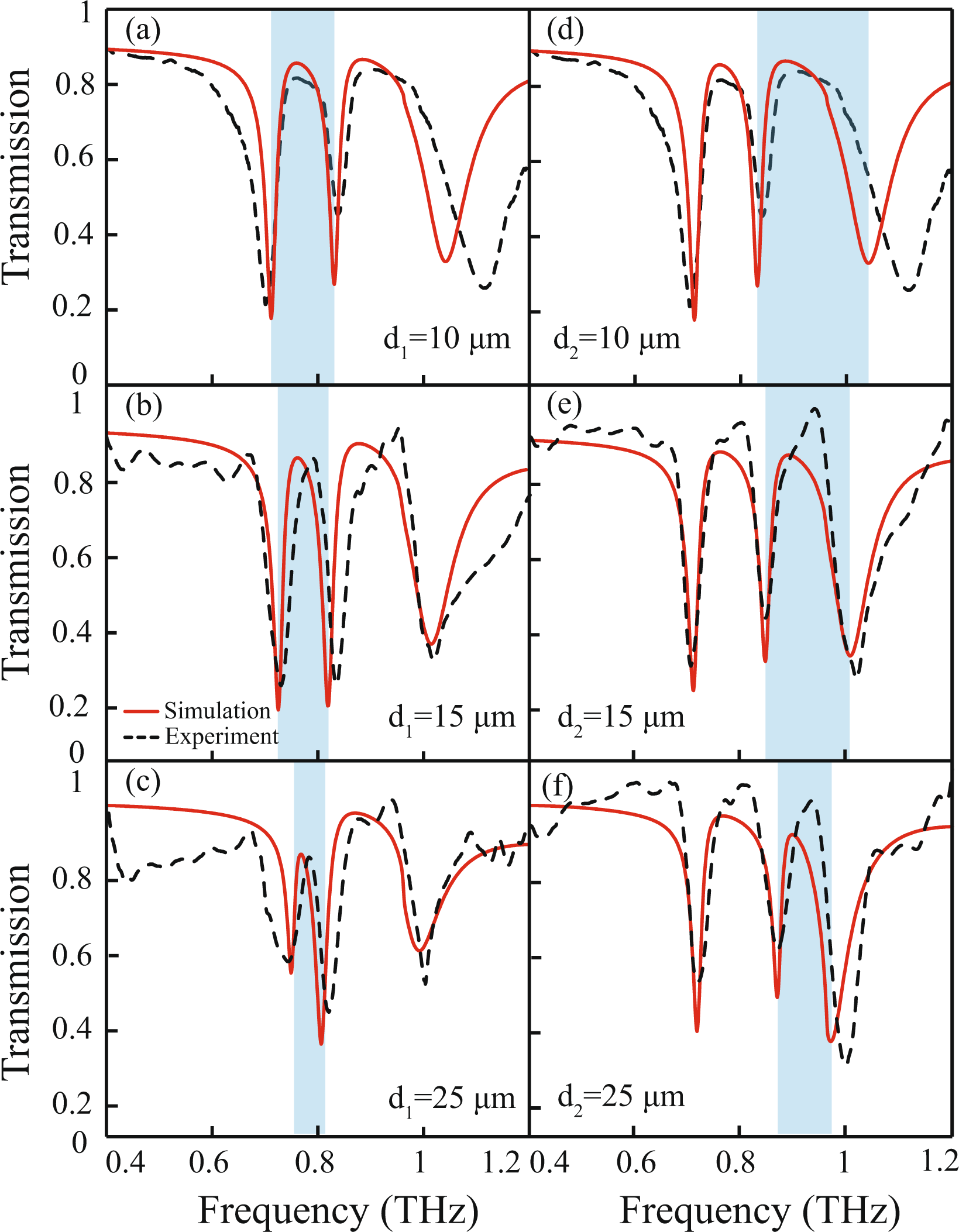
Figure 3

Simulated and experimentally measured terahertz transmission for various separation values ‘d1’ and ‘d2’ between the CW and the pair of DCRs. (a–c) represents transmission for d1 = 10  μm, 15 μm and 25 μm respectively, whereas (d–f) correspond to d2 = 10 μm, 15 μm and 25 μm respectively. The modulation in the transparency windows is reflected by the blue shaded color.