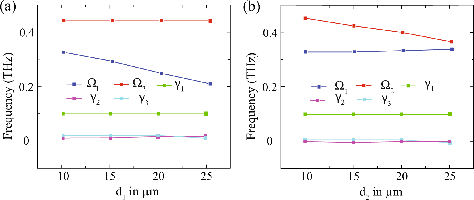
Figure 7

The variations of the fitting parameters γ1, γ2, γ3, Ω1 and Ω2 as the function of the (a) distance between CW and right DCR (d1) for the modulation of 1st transparency window (b) distance between CW and left DCR (d2) for the modulation of the 2nd transparency window of the multi-band EIT spectrum.