Figure 6
From: Demonstration of critical coupling in an active III-nitride microdisk photonic circuit on silicon

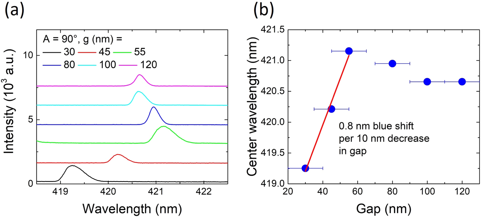
(a) Pulsed lasing spectra measured at the disk for devices with A = 90° and different gap sizes. (b) Peak wavelength as a function of gap for the spectra in (a).