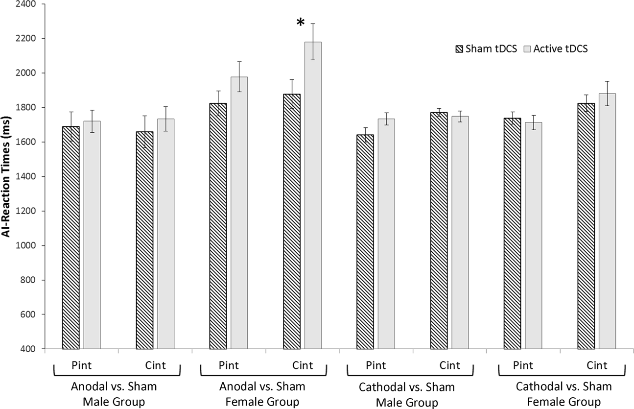
Figure 1
From: Aging, sex and cognitive Theory of Mind: a transcranial direct current stimulation study

Changes in RTs in the AI task (Pint and CInt stories) for active and sham tDCS in the four experimental groups. Only in the female group that received anodal tDCS over mPFC the RTs during the CInt task were increased after active tDCS compared to sham stimulation. Asterisk indicates a significant effect (p < 0.05). Errors bars indicate mean standard errors.