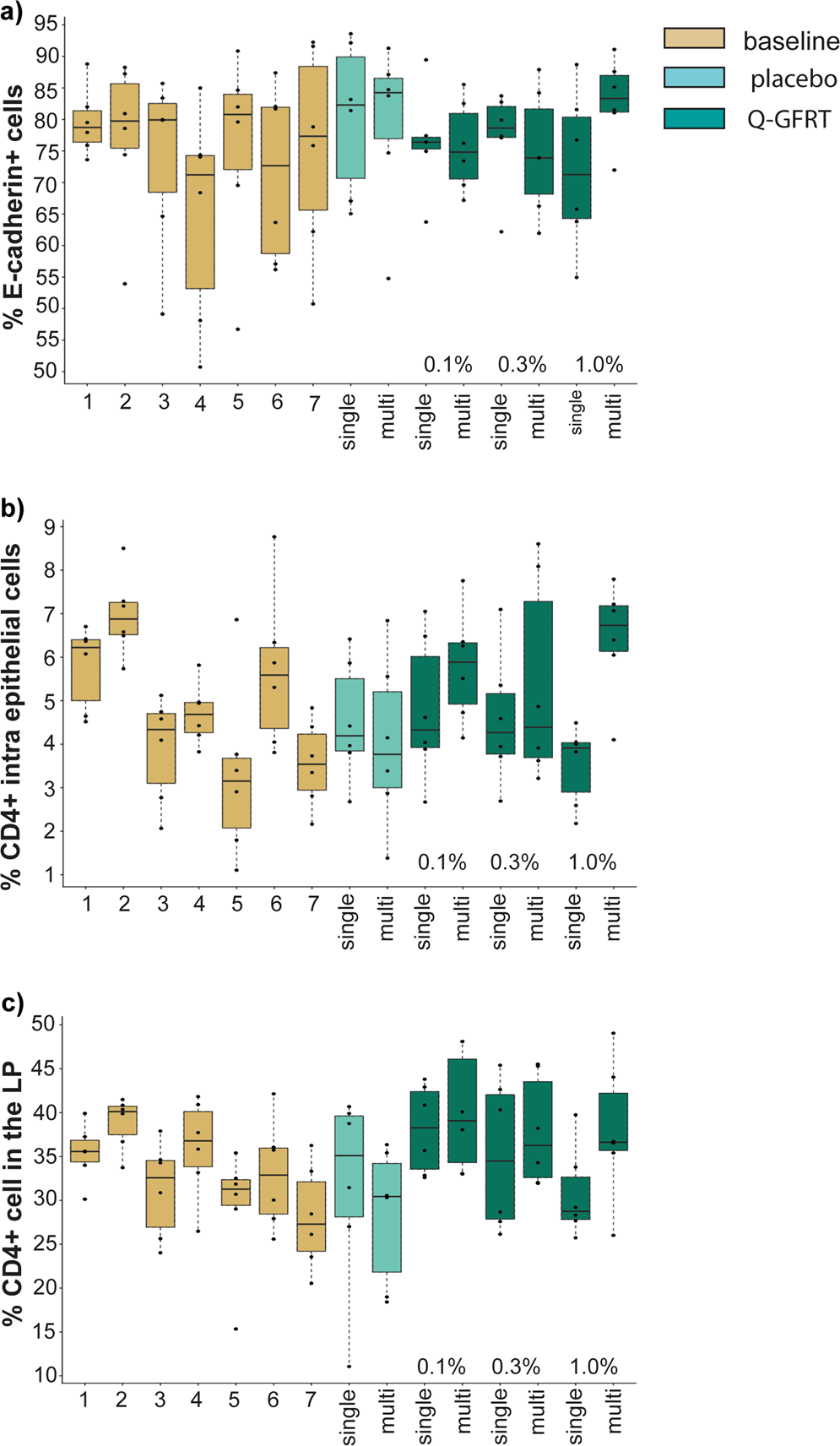
Figure 4

Enumeration of E-cadherin+ cells and CD4+ cells in the rectal mucosa. The plots show the distribution and median ± interquartile range of (a) % of E-cadherin+ cells out of total epithelial cells, (b) % of CD4+intra epithelial cells (i.e. % of CD4+ epithelial cells out of total epithelial cells), and c) % CD4+ Lamina propria (LP) cells (i.e. % of CD4+ LP cells out of total LP cells) in rectal samples. In situ staining and digital image analysis were used to assess the markers in the rectal biopsies collected during baseline, single and multi-dose placebo treatment as well as after escalating concentrations of Q-GFRT (0.1%, 0.3% and 1% [wt/vol], respectively) in a single- and multi-dose setting. Each circle represents a median value from the two biopsies collected at each time point for each RM.