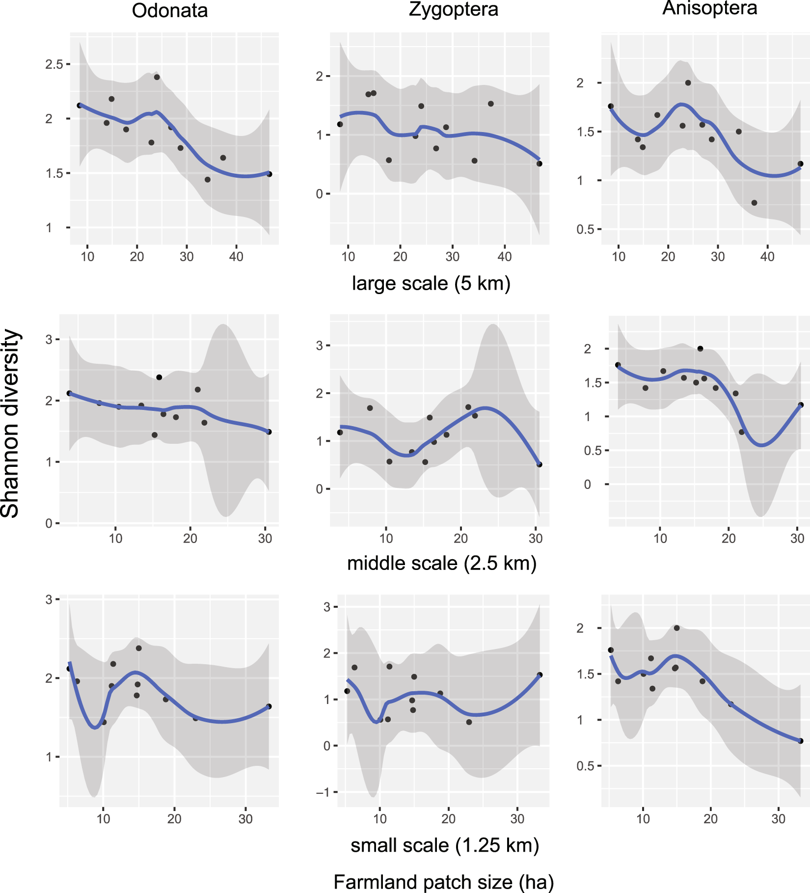
Figure 1
From: Landscape-scale terrestrial factors are also vital in shaping Odonata assemblages of watercourses

Relationship between farmland patch size and Odonata diversity at the studied landscape scales for the two suborders (Zygoptera and Anisoptera) and for the Odonata assemblages by locally weighted smoothed scatterplots (with 95% confidence interval around smooth – dark grey).