Figure 2
From: Two-dimensional Tunable Dirac/Weyl Semimetal in Non-Abelian Gauge Field

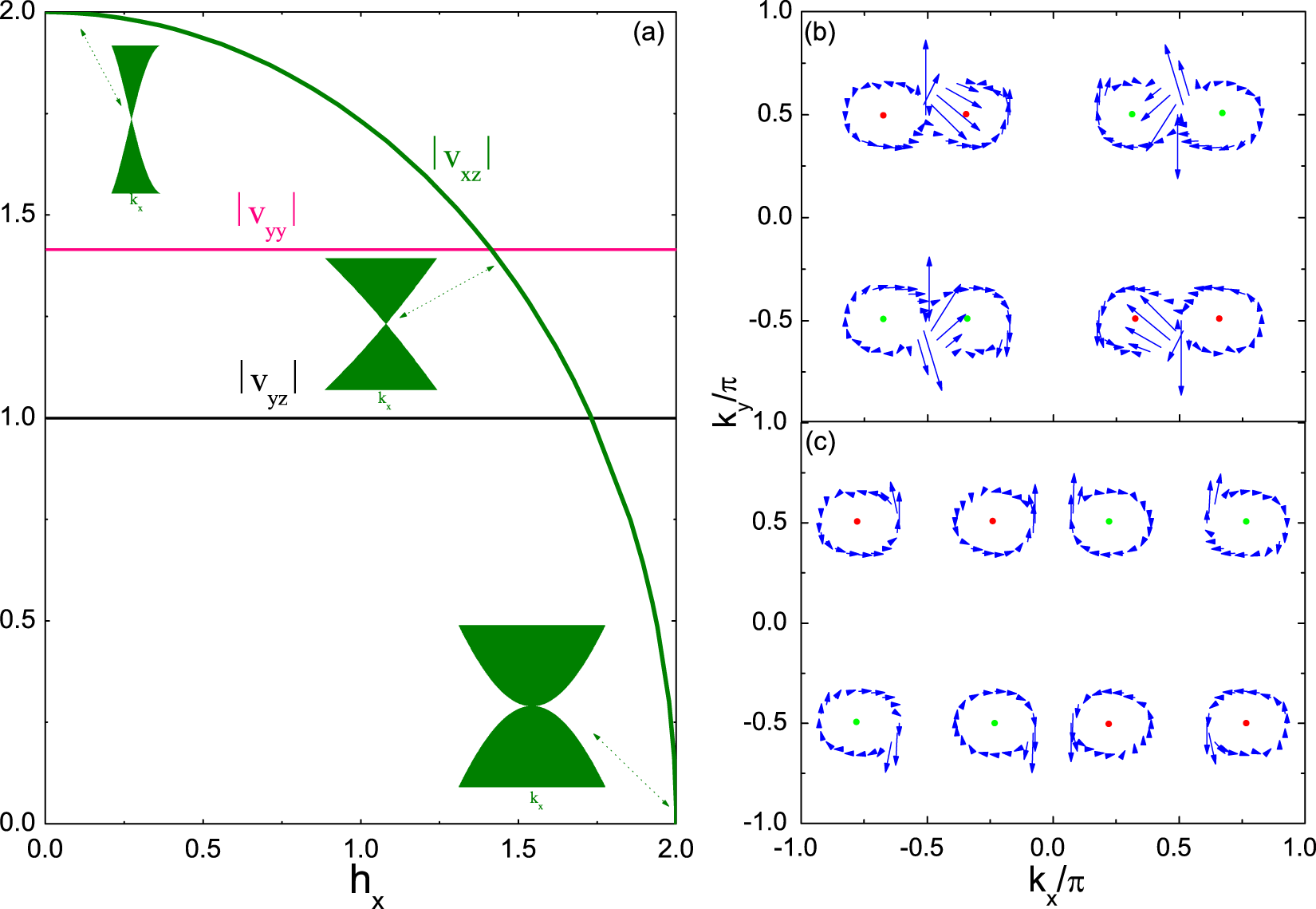
The low-energy effective Fermi velocity and Berry connection of the winding number. In (a) the components of Fermi velocities as a function of hx under the low-energy effective theory. In (b) 2D vectorgraph of Berry connections around different Weyl points at the zero energy with hx = 1 and μ = 0, and (c) hx = 1.5 and μ = 0, and the arrows represent the direction of Berry connections. For red and green points as in Fig. 1.