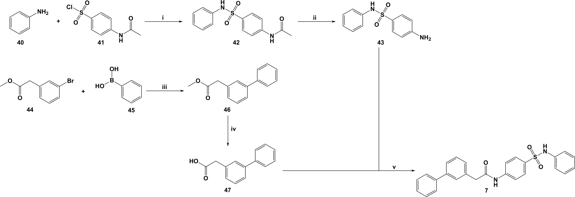
Figure 4

Reagents and conditions: (i) Pyr, 0 °C, 4 h, 91%; (ii) 5 M NaOH, MeOH, 70 °C, 3 h, 89%; (iii) Na2CO3, Pd(PPh3)4, PhMe/EtOH/H2O, 100 °C, 24 h, 75%; (iv) LiOH, MeOH/H2O, r.t., 2 h, 93%; (v) TBTU, DiPEA, DMF, r.t., o.n., 63%.

Reagents and conditions: (i) Pyr, 0 °C, 4 h, 91%; (ii) 5 M NaOH, MeOH, 70 °C, 3 h, 89%; (iii) Na2CO3, Pd(PPh3)4, PhMe/EtOH/H2O, 100 °C, 24 h, 75%; (iv) LiOH, MeOH/H2O, r.t., 2 h, 93%; (v) TBTU, DiPEA, DMF, r.t., o.n., 63%.